Magna Concursos

Foram encontradas 550 questões.

3981206 Ano: 2025
Disciplina: Matemática
Banca: SELECON
Orgão: Pref. Barra Garças-MT
Provas:
Uma progressao geometrica (an) n ∈ ℕ* e tal que an = 2 x an-1. Se o decimo quinto termo vale 80.808, o decimo primeiro termo vale:
 

Provas

Questão presente nas seguintes provas
3981205 Ano: 2025
Disciplina: Matemática
Banca: SELECON
Orgão: Pref. Barra Garças-MT
Provas:
Um joalheiro lapidou uma ametista no formato de um octaedro regular com aresta de medida igual a 30 mm. Como não dispunha de uma balança precisa para calcular a massa da joia, fez uma pesquisa e descobriu que a densidade da ametista é de 2,65 g/cm³.


Usando √2 = 1,4, a massa, em gramas, dessa ametista está entre:
 

Provas

Questão presente nas seguintes provas
3981204 Ano: 2025
Disciplina: Matemática Financeira
Banca: SELECON
Orgão: Pref. Barra Garças-MT
Provas:
Certo investimento foi feito a juros compostos com taxa de 2% ao mês. Sabe-se que o montante atual tem o valor de R$ 20.808,00. Dessa forma, o valor do montante há dois meses, em reais, era igual a:
 

Provas

Questão presente nas seguintes provas
3981203 Ano: 2025
Disciplina: Matemática
Banca: SELECON
Orgão: Pref. Barra Garças-MT
Provas:
Carlos pôs, em sua máquina de lavar, quatro pares de meias brancas, três pares de meias azuis e dois pares de meias pretas. Ao final da lavagem, ele retirou, ao acaso, quatro meias da máquina. A probabilidade de que todas sejam da mesma cor é igual a:
 

Provas

Questão presente nas seguintes provas
3981202 Ano: 2025
Disciplina: Matemática
Banca: SELECON
Orgão: Pref. Barra Garças-MT
Provas:
Em um triângulo, os ângulos internos são proporcionais a 1, 3 e 8. Se o menor lado mede 1, a medida do maior lado é:
 

Provas

Questão presente nas seguintes provas
3981201 Ano: 2025
Disciplina: Matemática
Banca: SELECON
Orgão: Pref. Barra Garças-MT
Provas:

Texto 1

Com base nos recentes documentos curriculares brasileiros, a BNCC leva em conta que os diferentes campos que compõem a Matemática reúnem um conjunto de ideias fundamentais que produzem articulações entre eles: equivalência, ordem, proporcionalidade, interdependência, representação, variação e aproximação.

...


Nessa direção, a BNCC propõe cinco unidades temáticas, correlacionadas, que orientam a formulação de habilidades a serem desenvolvidas ao longo do Ensino Fundamental. Cada uma delas pode receber ênfase diferente, a depender do ano de escolarização.”


Fonte: http://portal.mec.gov.br/index.php (BNCC p.268)


Considerando a unidade temática Números, espera-se que no Ensino Fundamental – Anos iniciais, os alunos desenvolvam habilidades que possibilitem a:

 

Provas

Questão presente nas seguintes provas
3981200 Ano: 2025
Disciplina: Matemática
Banca: SELECON
Orgão: Pref. Barra Garças-MT
Provas:
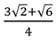
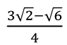
Dados os números a, b e c, todos positivos, considere a função f: R  R definida por Enunciado 4479777-1, cujo período é igual a 4π/3. Se o conjunto imagem da função é o intervalo [2, 6], a soma (c) é igual a
 

Provas

Questão presente nas seguintes provas
3981199 Ano: 2025
Disciplina: Matemática
Banca: SELECON
Orgão: Pref. Barra Garças-MT
Provas:
Ao se escrever o algarismo 3 à direita de um número natural N, esse número aumenta em 1.740 unidades. A soma dos algarismos de N é:
 

Provas

Questão presente nas seguintes provas
3981198 Ano: 2025
Disciplina: Matemática
Banca: SELECON
Orgão: Pref. Barra Garças-MT
Provas:
Em uma aula prática de Geometria Espacial, um professor planificou a superfície lateral de um cone reto, obtendo um setor circular com raio 20 cm e ângulo central de 216°. O volume desse cone, em cm³, corresponde a:
 

Provas

Questão presente nas seguintes provas
3981197 Ano: 2025
Disciplina: Matemática
Banca: SELECON
Orgão: Pref. Barra Garças-MT
Provas:
Em duas caixas foram colocadas apenas bolas pretas e vermelhas. Na primeira caixa, 1/4 (um quarto) do total de bolas são vermelhas, e na outra caixa, que contém uma bola a mais do que a primeira, apenas 1/5 (um quinto) do total de bolas são vermelhas. Se o total de bolas pretas nas duas caixas é igual a 131, a soma dos algarismos do número que representa o total de bolas vermelhas, considerando as duas caixas, é igual a:
 

Provas

Questão presente nas seguintes provas