Foram encontradas 50 questões.
Após as últimas altas nos preços dos veículos, Marta constatou que o valor do seu
automóvel havia aumentado 40%. No entanto, ao consultar o valor do seu carro no mês
de outubro de 2022, notou que o mesmo havia baixado 10%, passando a valer
R$ 63.000,00.
Em relação ao preço inicial, ou seja, antes do aumento de 40%, qual foi o aumento real
que o carro de Marta teve tomando como referência o mês de outubro de 2022?
Provas
Questão presente nas seguintes provas
A lei de formação de uma sequência é An+1 = An + An-1, no qual An é seu n-ésimo
termo.
Se o primeiro e o segundo termos dessa sequência são iguais a 2 e 3, respectivamente, qual será o seu décimo termo?
Se o primeiro e o segundo termos dessa sequência são iguais a 2 e 3, respectivamente, qual será o seu décimo termo?
Provas
Questão presente nas seguintes provas
Uma empresa produz 60 peças idênticas trabalhando 4 horas por dia com os seus 5
funcionários. Essa empresa recebeu uma encomenda de 180 unidades desse mesmo tipo
de peça, porém, um de seus funcionários sairá em férias, sendo assim, quantas horas
cada funcionário trabalhará a mais para poder entregar essa encomenda em apenas um
dia? Considere que todos os funcionários dessa empresa apresentam o mesmo
rendimento.
Provas
Questão presente nas seguintes provas
Um cubo de aresta 6 cm e uma pirâmide quadrangular de aresta da base com
medida 6 cm possuem o mesmo volume. Qual é a medida da altura h dessa pirâmide?
Provas
Questão presente nas seguintes provas
Sejam r: x – y = 0 e λ: x² + y² = 4, uma reta e uma circunferência, respectivamente.
Qual é o ponto de interseção de r e λ no primeiro quadrante?
Provas
Questão presente nas seguintes provas
Seja x2/25 + y2/9 = 1 uma elipse conforme a figura a seguir.

Considere um triângulo B1F1F2, tal que B1 é um dos vértices do eixo menor dessa elipse, e F1 e F2 são seus focos. Qual é a área desse triângulo em unidades de área?

Considere um triângulo B1F1F2, tal que B1 é um dos vértices do eixo menor dessa elipse, e F1 e F2 são seus focos. Qual é a área desse triângulo em unidades de área?
Provas
Questão presente nas seguintes provas
No conjunto dos números Complexos (C), temos que a unidade imaginária i, é tal
que, i² = -1. Seja z’ o conjugado de um complexo z, então qual é a parte real de z, se
z + 2z’ = 2 + 3i?
Provas
Questão presente nas seguintes provas
O CDI (Certificado de Depósito Interbancário) é um valor resultante dos
empréstimos que os bancos fazem uns aos outros. É o CDI que guia as taxas de
rendimentos. Sabe-se que certo banco digital com liquidez diária, “paga” aos seus
clientes uma taxa correspondente a 110% do CDI em vigor sobre o valor que os
mesmos possuem em suas contas bancárias.
Considere que o CDI não sofreu alterações por dois anos e que seu valor nesse período
seja 10%. Qual será o valor total resgatado por certa pessoa que deixou R$ 100.000,00
aplicados nesse banco durante os dois anos que o CDI permaneceu constante?
Provas
Questão presente nas seguintes provas
Ao chutar uma bola de futebol em direção ao gol, um atleta observou que essa bola
descreveu uma trajetória parabólica, conforme a imagem a seguir:

Sabe-se que a altura h (em metros) em função do tempo t (em segundos) que a bola atingiu é dada pela função h(t) = -t /16+ 3t. Sendo assim, qual foi a altura máxima, em metros, atingida por essa bola após o chute?

Sabe-se que a altura h (em metros) em função do tempo t (em segundos) que a bola atingiu é dada pela função h(t) = -t /16+ 3t. Sendo assim, qual foi a altura máxima, em metros, atingida por essa bola após o chute?
Provas
Questão presente nas seguintes provas
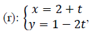
Seja r uma reta no plano, tal que,
t ∈ R, é sua equação na forma
paramétrica. Qual é o valor da soma do coeficiente angular com o coeficiente linear
dessa reta?
t ∈ R, é sua equação na forma
paramétrica. Qual é o valor da soma do coeficiente angular com o coeficiente linear
dessa reta?Provas
Questão presente nas seguintes provas
Cadernos
Caderno Container