Foram encontradas 280 questões.
Um determinado Município publica dois editais de licitação, nos termos da Lei 8.666, de 21 de junho de 1993:
1º) Para a escolha de uma pintura a ser colocada no saguão da prefeitura.
2º) Para a venda de 200 cadeiras sem utilidade para a Administração Municipal.
As modalidades de licitação devem ser, respectivamente,
Provas
- ProlegômenosPoderes da AdministraçãoPoder Hierárquico
- ProlegômenosPoderes da AdministraçãoPoder Disciplinar
- ProlegômenosPoderes da AdministraçãoPoder Normativo
Assinale V para as alternativas VERDADEIRAS e F para as FALSAS:
( ) Poder disciplinar é o que cabe à Administração Pública para apurar infrações e aplicar penalidades aos servidores públicos e demais pessoas sujeitas à disciplina administrativa.
( ) Os poderes da Administração são faculdades da Administração Pública e são, portanto, renunciáveis.
( ) Poder de polícia é a atividade do Estado consistente em limitar o exercício dos direitos individuais em benefício do interesse público.
( ) O poder regulamentar pode ser definido como o que cabe ao Chefe do Poder Executivo – da União, dos Estados e dos Municípios – de editar normas complementares à lei, para sua fiel execução.
A sequência CORRETA é:
Provas
- ProlegômenosPrincípios da Administração PúblicaPrincípios Expressos
- ProlegômenosRegime Jurídico Administrativo
Relacione os princípios aos seus conceitos:
(1) Princípio da Legalidade
(2) Princípio da Impessoalidade
(3) Princípio da Moralidade Administrativa
(4) Princípio da Publicidade
(5) Princípio da Eficiência
(A) Tal princípio exige a ampla divulgação dos atos praticados pela Administração Pública, ressalvadas as hipóteses de sigilo previstas em lei.
(B) É o princípio que impõe a todo agente público o dever de realizar suas atribuições com presteza, perfeição e rendimento funcional. É o princípio que corresponde ao dever da boa administração.
(C) Esse princípio constitui uma das principais garantias de respeito aos direitos individuais porque a lei define e estabelece os limites da atuação administrativa que tenha por objeto a restrição ao exercício de referidos direitos individuais em benefício da coletividade.
(D) Princípio que exige da Administração Pública uma atuação segundo padrões éticos de probidade, decoro e boa-fé.
(E) Princípio que exige objetividade no atendimento do interesse público, vedada a promoção pessoal de agentes ou autoridades.
A correspondência CORRETA é:
Provas
O modelo gerencial de administração pública adota a descentralização como instrumento de organização e execução de políticas públicas, em busca de melhor governança.
Nesse contexto, analise as afirmativas a seguir:
I. A administração gerencial adota forma de atuação descentralizada e baseada no controle por resultados.
II. A administração pública gerencial adota um modelo rígido de processos com o intuito de combater o nepotismo e a corrupção.
III. A descentralização administrativa se refere à transferência dos poderes de decisão a entes administrativos que não possuem personalidade jurídica própria.
IV. A descentralização pode ser feita através da outorga, quando o Estado cria uma entidade e a ela transfere a execução de serviço público; ou delegação, quando, através de contrato ou ato unilateral, transfere a execução de determinado serviço a entidade particular.
V. A governança faz referência à capacidade de um governo de executar as decisões tomadas. O modelo gerencial tem a governança como referencial ao focar na avaliação de resultados das políticas públicas e não nos processos.
Sobre o modelo gerencial de administração pública, governança e descentralização, é CORRETO apenas o que se afirma em
Provas
- Modelos Téoricos da Administração PúblicaAdministração Patrimonialista
- Modelos Téoricos da Administração PúblicaAdministração Burocrática
- Modelos Téoricos da Administração PúblicaAdministração Pública Gerencial
Leia com atenção o texto abaixo e faça o que se pede:
Durante a vigência dos Estados Absolutistas, o modelo administrativo _________________ não fazia distinção entre os recursos do monarca e os recursos públicos. Os _________________ não eram distribuídos de acordo com competências, mas como uma espécie de recompensa ou moeda de troca que os monarcas concediam de acordo com sua vontade gerando ineficácia e nepotismo.
A partir das conquistas políticas dos séculos XVIII e XIX, um novo modelo se fez necessário. O ____________________ nasce na segunda metade do século XIX, pregando o princípio da profissionalização dos cargos administrativos, assim como a impessoalidade, o controle formal dos processos administrativos e a hierarquia formal. Ao longo do século XX, tal modelo se tornou inadequado por não mais corresponder aos interesses da população. A solução veio com a _______________________ , que introduz o modelo de ________________________________, orientada não mais por processos, mas por _________________.
Assinale a alternativa que completa CORRETAMENTE as lacunas desse texto:
Provas
- Modelos Téoricos da Administração PúblicaAdministração Burocrática
- Evolução da Administração Pública no Brasil
Leia atentamente o texto abaixo:
"As profundas transformações ocorridas no mundo após a Segunda Guerra Mundial contribuíram de forma decisiva para acelerar o nível de maturidade político-econômico-social dos governos e das sociedades, especialmente a partir da década de 1970. [...] Cresceram as atribuições dos governos, a complexidade de suas ações e as demandas pelos seus serviços. O processo de globalização econômica, por sua vez, também foi impulsionado, tornando-se fator indutor de mudanças de toda ordem: tecnológicas, econômicas, sociais, culturais e políticas. Inúmeros países começaram a abrir as suas economias, o nível de educação elevou-se, assim como o acesso às informações."
(PEREIRA, José Matias. Curso de administração pública: Foco nas Instituições e Ações Governamentais. 3 ed. São Paulo: Atlas, 2010, p. 110. Adaptado)
Esse texto faz referência a qual fenômeno histórico da administração pública?
Provas
Considerando que, se Z tem distribuição normal padrão, então Pr(|Z|>1,645)=0,10 e Pr(|Z|>1,96)=0,05.
Com base no modelo apresentado acima é CORRETO o que se afirma em:
Provas

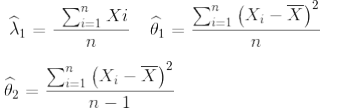
Para os estimadores acima, é CORRETO o que se afirma em:
Provas
Provas
Provas
Caderno Container