Foram encontradas 670 questões.
Sobre os efluentes domésticos, popularmente
conhecido como esgotos, são todos os rejeitos
líquidos das atividades humanas de uma edificação
que deverá ser captada e deslocada a um local
especifico para seu tratamento e disposição final.
Sobre os componentes dos subsistemas de coleta
e transporte de esgotos temos os Desconectores.
Sobre os desconectores, analise as definições
abaixo.
I. Em todos os aparelhos sanitários utilizados na construção de uma unidade domiciliar devem ser protegidos por desconectores.
II. Os desconectores podem atender a um aparelho ou a um conjunto de aparelhos de uma mesma unidade autônoma.
III. Deve ser assegurada a manutenção do fecho hídrico dos desconectores mediante as solicitações impostas pelo ambiente (evaporação, tiragem térmica e ação do vento, variações de pressão no ambiente) e pelo uso propriamente dito (sucção e sobrepressão).
IV. Apenas os aparelhos sanitários utilizados na construção de uma unidade domiciliar que recebem resíduos orgânicos (fezes e urina) devem ser protegidos por desconectores.
É correto o que se afirma em:
I. Em todos os aparelhos sanitários utilizados na construção de uma unidade domiciliar devem ser protegidos por desconectores.
II. Os desconectores podem atender a um aparelho ou a um conjunto de aparelhos de uma mesma unidade autônoma.
III. Deve ser assegurada a manutenção do fecho hídrico dos desconectores mediante as solicitações impostas pelo ambiente (evaporação, tiragem térmica e ação do vento, variações de pressão no ambiente) e pelo uso propriamente dito (sucção e sobrepressão).
IV. Apenas os aparelhos sanitários utilizados na construção de uma unidade domiciliar que recebem resíduos orgânicos (fezes e urina) devem ser protegidos por desconectores.
É correto o que se afirma em:
Provas
Questão presente nas seguintes provas
A madeira é um material utilizado na construção
civil a milhares de anos. Na antiguidade as
construções eram realizadas desde sua fundação,
estrutura e cobertura totalmente em madeira. Com
o desenvolvimento e aperfeiçoamento da madeira,
como material de construção, a mesma começou a
ser utilizada de forma mista com o uso de paredes
de pedra, tijolos, dentre outros materiais. Na
atualidade, com a necessidade de resistir a maiores
cargas, as madeiras são utilizadas com ligações
entre peças. Dentre as principais ligações entre
peças de madeira destacam-se as ligações por
Pinos Metálicos. Assinale a assertiva que melhor
define as ligações por Pinos Metálicos e os tipos
que são utilizados conforme a NBR 7190-1 (2022)
– Projetos de Estruturas de Madeira – Parte 1 -
Critérios de Dimensionamento.
Provas
Questão presente nas seguintes provas
Na construção civil, a pintura, representa uma
operação de grande importância, que varia desde a
sensação psicológica das cores do ambiente como
do principal aspecto da pintura que seria a proteção
da alvenaria, estrutura, etc., como também do
aspecto higiênico da construção. Sobre os tipos
de superfícies e sua preparação para aplicação da
pintura em alvenaria, assinale a alternativa correta.
Provas
Questão presente nas seguintes provas
Os sistemas de combate a incêndio, mais
precisamente os sistemas que utilizam extintores
(NBR 12693), indicam o posicionamento, sinalização
e acomodação dos extintores nas edificações.
Sobre esses sistemas, assinale as afirmações como
verdadeiras (V) ou falsas (F):
( ) Os extintores devem ser posicionados em locais facilmente acessíveis e disponíveis em caso de incêndio. Podem ser instalados nos caminhos normais de passagem incluindo saídas de áreas e em escadas.
( ) Deve haver no mínimo um extintor de incêndio distante a não mais de 5 m da porta de acesso da entrada principal da edificação, entrada do pavimento ou entrada da área de risco.
( ) Em estádios, hospitais psiquiátricos, reformatórios e locais de restrição de liberdade, os extintores devem ser instalados em vão livres nos caminhos normais de passagem.
( ) Em depósitos de materiais combustíveis localizados em áreas descobertas os extintores podem ser agrupados em abrigos, com distancia máxima de caminhamento de 25 m independente do grau de risco ou da classe de fogo.
A sequência correta é:
( ) Os extintores devem ser posicionados em locais facilmente acessíveis e disponíveis em caso de incêndio. Podem ser instalados nos caminhos normais de passagem incluindo saídas de áreas e em escadas.
( ) Deve haver no mínimo um extintor de incêndio distante a não mais de 5 m da porta de acesso da entrada principal da edificação, entrada do pavimento ou entrada da área de risco.
( ) Em estádios, hospitais psiquiátricos, reformatórios e locais de restrição de liberdade, os extintores devem ser instalados em vão livres nos caminhos normais de passagem.
( ) Em depósitos de materiais combustíveis localizados em áreas descobertas os extintores podem ser agrupados em abrigos, com distancia máxima de caminhamento de 25 m independente do grau de risco ou da classe de fogo.
A sequência correta é:
Provas
Questão presente nas seguintes provas
A indústria da construção sem dúvidas é
complexa e exige cuidados especiais para garantir a
saúde e segurança dos trabalhadores durante suas
atividades. Em vários Canteiros de Obras observa-se desníveis entre áreas de trabalho que se torna
necessário a instalação de estruturas como Escadas,
Rampas ou Passarelas. Sobre essas estruturas,
analise as assertivas abaixo.
I. A instalação de rampas e escadas para transpor pisos para circulação de trabalhadores só será obrigatório com níveis superiores a 1,40 m.
II. As escadas, rampas e passarelas devem ser dimensionadas e construídas em função do carregamento a que esteja submetido.
III. Em escadas que demandem o uso de mãos como apoio, o transporte de materiais deve ser feito por meio adequado.
IV. É obrigatória a instalação de passarelas quando for necessário o trânsito de pessoas sobre vãos com risco de queda de altura.
É correto o que se afirma em:
I. A instalação de rampas e escadas para transpor pisos para circulação de trabalhadores só será obrigatório com níveis superiores a 1,40 m.
II. As escadas, rampas e passarelas devem ser dimensionadas e construídas em função do carregamento a que esteja submetido.
III. Em escadas que demandem o uso de mãos como apoio, o transporte de materiais deve ser feito por meio adequado.
IV. É obrigatória a instalação de passarelas quando for necessário o trânsito de pessoas sobre vãos com risco de queda de altura.
É correto o que se afirma em:
Provas
Questão presente nas seguintes provas
As estruturas de concreto estão expostas a
inúmeros ambientes que podem comprometer a sua
durabilidade independente das ações mecânicas,
das variações volumétricas de origens térmicas
e retração hidráulica, dentre outras previstas em
seu dimensionamento. Cada ambiente possui
uma Classe de Agressividade Ambiental (CAA).
Considerando as classes de agressividade
ambiental da NBR 6118 (2003) em sua versão
corrigida (2024) analise as assertivas abaixo.
I. A Classe de Agressividade Ambiental “IV” é caracterizada como Agressividade MUITO FORTE e Risco de deterioração da estrutura ELEVADO.
II. Para a Classe de Agressividade Ambiental “IV” a Classificação geral do tipo de ambiente para efeito de projeto é INDUSTRIAL e RESPINGOS DE MARÉ.
III. Em se tratando da Classe de Agressividade Ambiental “I” a Agressividade a estrutura é considerada FRACA e o Risco de deterioração da estrutura é INSIGNIFICANTE.
IV. Já, para a Classe de Agressividade Ambiental “III” a Classificação geral do tipo de ambiente para efeito de projeto é URBANO e INDUSTRIAL.
É correto o que se afirma em:
I. A Classe de Agressividade Ambiental “IV” é caracterizada como Agressividade MUITO FORTE e Risco de deterioração da estrutura ELEVADO.
II. Para a Classe de Agressividade Ambiental “IV” a Classificação geral do tipo de ambiente para efeito de projeto é INDUSTRIAL e RESPINGOS DE MARÉ.
III. Em se tratando da Classe de Agressividade Ambiental “I” a Agressividade a estrutura é considerada FRACA e o Risco de deterioração da estrutura é INSIGNIFICANTE.
IV. Já, para a Classe de Agressividade Ambiental “III” a Classificação geral do tipo de ambiente para efeito de projeto é URBANO e INDUSTRIAL.
É correto o que se afirma em:
Provas
Questão presente nas seguintes provas
De acordo com a Lei de Licitações e Contratos
Administrativos de Obras e Serviços de Engenharia
(Lei nº 8.666/1993 e legislação complementar),
as licitações para a execução de obras e para
a prestação de serviços obedecerão a seguinte
sequência: I – projeto básico; II – projeto executivo;
III – execução das obras e serviços. Assinale a
assertiva correta.
Provas
Questão presente nas seguintes provas
Sobre as instalações de água fria em edifícios
é extremamente importante definir as pressões
estáticas e dinâmicas nos pontos de utilização.
Sobre as pressões mínimas e máximas em edifícios
definidos pela NBR 5626 (2020) Sistemas Prediais de
Água Fria e Quente - Projeto, Execução, Operação
e Manutenção, analise e assinale as alternativas
como verdadeiras (V) ou falsas (F).
( ) A pressão dinâmica máxima da água atuante nos pontos de utilização deve ser aquela necessária para assegurar a menor velocidade da água na tubulação para evitar ruídos no sistema.
( ) Em qualquer caso, a pressão dinâmica da água no ponto de utilização não pode ser inferior a 10 kPa (1mca).
( ) A pressão estática nos pontos de utilização não pode superar 400 kPa (40 mca).
( ) A ocorrência de sobrepressões devido a transientes hidráulicos deve ser considerada no dimensionamento das tubulações. Essas sobrepressões, em relação a pressão dinâmica prevista em projeto, são admitidas desde que não supere 200 kPa (20 mca).
A sequência correta é:
( ) A pressão dinâmica máxima da água atuante nos pontos de utilização deve ser aquela necessária para assegurar a menor velocidade da água na tubulação para evitar ruídos no sistema.
( ) Em qualquer caso, a pressão dinâmica da água no ponto de utilização não pode ser inferior a 10 kPa (1mca).
( ) A pressão estática nos pontos de utilização não pode superar 400 kPa (40 mca).
( ) A ocorrência de sobrepressões devido a transientes hidráulicos deve ser considerada no dimensionamento das tubulações. Essas sobrepressões, em relação a pressão dinâmica prevista em projeto, são admitidas desde que não supere 200 kPa (20 mca).
A sequência correta é:
Provas
Questão presente nas seguintes provas
A NBR 6118 (2023) em sua versão corrigida
(2024) tem como objetivo estabelecer os
procedimentos necessários para projetos e
estruturas de concreto simples, armado e
protendido. Dentre características da referida NBR
destaca-se alguns mecanismos de envelhecimento
e deterioração, seja mecanismos preponderantes
de deterioração do concreto, da armadura ou da
estrutura propriamente dita. Assinale a alternativa
que apresenta os mecanismos preponderantes de
deterioração relacionados ao concreto.
Provas
Questão presente nas seguintes provas
Na confecção de alvenarias são utilizados vários tipos de blocos, cujos materiais de produção são
variados como o concreto, cerâmica, dentre outros. A Figura 1 apresenta uma alvenaria de blocos
cerâmicos a ser construída. Para o trecho menor, 1,05 m, os tijolos serão aplicados de MEIA VEZ (I).
O maior vão, cujo comprimento é 2,08 m, é composto de uma parede cujo assentamento dos tijolos é
realizado de UMA VEZ (II). Considerando um bloco de tijolo cerâmico de 8 furos, cujas dimensões reais,
em centímetros, são (19 x 19 x 9) e a espessura de argamassa (horizontal e vertical) de 2 cm. Assinale
a alternativa que contém o volume de argamassa e o número de tijolos necessário para levantamento
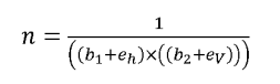
das alvenarias propostas cuja altura da construção será de 3 m. Considere: V = [1 – n X (b1 X b2)] X b3 e
Onde: V = Volume de argamassa; n = área frontal dos blocos em sua posição; b1 e b2 = Comprimento e altura do bloco na posição de aplicação; b3 = largura do bloco na posição de aplicação, eh e eV = espessura das juntas horizontais e verticais (OBSERVAÇÃO: Utilizar as medidas do bloco conforme aplicação da alvenaria e um índice de 10% de perdas).

Onde: V = Volume de argamassa; n = área frontal dos blocos em sua posição; b1 e b2 = Comprimento e altura do bloco na posição de aplicação; b3 = largura do bloco na posição de aplicação, eh e eV = espessura das juntas horizontais e verticais (OBSERVAÇÃO: Utilizar as medidas do bloco conforme aplicação da alvenaria e um índice de 10% de perdas).

Provas
Questão presente nas seguintes provas
Cadernos
Caderno Container