Foram encontradas 620 questões.
Disciplina: Segurança e Saúde no Trabalho (SST)
Banca: UNAMA
Orgão: Pref. Bragança-PA
NAS QUESTÕES NUMERADAS DE 11 A 25, ASSINALE A ÚNICA ALTERNATIVA QUE RESPONDE CORRETAMENTE AO ENUNCIADO.
Os Equipamentos de Proteção Individual – EPI's não foram desenvolvidos para substituir os demais cuidados na aplicação e sim para complementá-los, evitando-se a exposição. Para reduzir os riscos de contaminação, as operações de manuseio e aplicação devem ser realizadas com cuidado, para evitar ao máximo a exposição. Considerando a aplicação manual de inseticidas com o uso de pulverizador costal, qual das opções abaixo contém todos os equipamentos obrigatórios que o trabalhador deverá usar?
Provas
Disciplina: Agronomia (Engenharia Agronômica)
Banca: UNAMA
Orgão: Pref. Bragança-PA
NAS QUESTÕES NUMERADAS DE 11 A 25, ASSINALE A ÚNICA ALTERNATIVA QUE RESPONDE CORRETAMENTE AO ENUNCIADO.
Sobre Agroecologia, é correto afirmar:
Provas
NAS QUESTÕES NUMERADAS DE 11 A 25, ASSINALE A ÚNICA ALTERNATIVA QUE RESPONDE CORRETAMENTE AO ENUNCIADO.
Com o avanço da suinocultura moderna, muitas práticas novas foram adotadas. Uma, muito conhecida, foi a castração, que consiste em retirar as glândulas sexuais do macho (testículos), inibindo assim a atividade causada pela produção de:
Provas
NAS QUESTÕES NUMERADAS DE 11 A 25, ASSINALE A ÚNICA ALTERNATIVA QUE RESPONDE CORRETAMENTE AO ENUNCIADO.
A aquacultura ou aqüicultura é uma atividade multidisciplinar que se refere ao cultivo de organismos aquáticos, incluindo:
Provas
NAS QUESTÕES NUMERADAS DE 11 A 25, ASSINALE A ÚNICA ALTERNATIVA QUE RESPONDE CORRETAMENTE AO ENUNCIADO.
Considerando a propagação por estacas da pimenta-do-reino, é correto afirmar:
Provas
NAS QUESTÕES NUMERADAS DE 11 A 25, ASSINALE A ÚNICA ALTERNATIVA QUE RESPONDE CORRETAMENTE AO ENUNCIADO.
A carta ou mapa cartográfico tem por objetivo a representação de duas dimensões, a primeira referente ao plano e a segunda à altitude. Desta forma, os símbolos e cores convencionais são de duas ordens: planimétricos e altimétricos. Assim, é correto afirmar que:
Provas
NAS QUESTÕES NUMERADAS DE 11 A 25, ASSINALE A ÚNICA ALTERNATIVA QUE RESPONDE CORRETAMENTE AO ENUNCIADO.
Num levantamento planimétrico, para efetuar a coleta de dados no campo, os instrumentos topográficos mais usados são:
Provas
NAS QUESTÕES NUMERADAS DE 11 A 25, ASSINALE A ÚNICA ALTERNATIVA QUE RESPONDE CORRETAMENTE AO ENUNCIADO.
A estaca 5+18,8 m representa, num perfil longitudinal de uma estrada, a distância horizontal acumulada de:
Provas
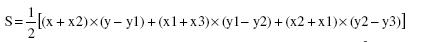
NAS QUESTÕES NUMERADAS DE 11 A 25, ASSINALE A ÚNICA ALTERNATIVA QUE RESPONDE CORRETAMENTE AO ENUNCIADO.
A área da poligonal abaixo pode ser determinada pela seguinte expressão:

Provas
NAS QUESTÕES NUMERADAS DE 11 A 25, ASSINALE A ÚNICA ALTERNATIVA QUE RESPONDE CORRETAMENTE AO ENUNCIADO.
Em relação ao projeto de uma estrada, é correto afirmar:
Provas
Caderno Container