Foram encontradas 40 questões.
Assinale a alternativa cujas medidas não podem
representar os lados de um triângulo:
Provas
Questão presente nas seguintes provas
Um tanque tem formato cúbico com aresta de 2
metros. A capacidade máxima desse tanque é:
Provas
Questão presente nas seguintes provas
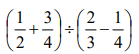
O valor da expressão abaixo é:

Provas
Questão presente nas seguintes provas
Colocando as frações x= 2/3 , y= 1/4 e z= 5/6 em ordem crescente, temos a sequência:
Provas
Questão presente nas seguintes provas
TEXTO 3
Leitura como Ato de Resistência
Ler é resistir.
Num país em que poucas pessoas leem e em que o
conhecimento é visto com desconfiança, o ato de
abrir um livro é, sim, um ato de resistência.
A leitura exige tempo, silêncio, concentração e
vontade de compreender o outro.
Ler nos faz pensar, imaginar, questionar e nos
coloca em contato com outras formas de ver o
mundo.
A leitura amplia horizontes e permite que cada
pessoa forme suas próprias ideias
— é, portanto, um exercício de liberdade.
Marcos da Veiga Pereira. Leitura como ato de resistência. Folha de
São Paulo, Opinião, 6 jun. 2019 (adaptado).
Provas
Questão presente nas seguintes provas
TEXTO 3
Leitura como Ato de Resistência
Ler é resistir.
Num país em que poucas pessoas leem e em que o
conhecimento é visto com desconfiança, o ato de
abrir um livro é, sim, um ato de resistência.
A leitura exige tempo, silêncio, concentração e
vontade de compreender o outro.
Ler nos faz pensar, imaginar, questionar e nos
coloca em contato com outras formas de ver o
mundo.
A leitura amplia horizontes e permite que cada
pessoa forme suas próprias ideias
— é, portanto, um exercício de liberdade.
Marcos da Veiga Pereira. Leitura como ato de resistência. Folha de
São Paulo, Opinião, 6 jun. 2019 (adaptado).
Provas
Questão presente nas seguintes provas
TEXTO 3
Leitura como Ato de Resistência
Ler é resistir.
Num país em que poucas pessoas leem e em que o
conhecimento é visto com desconfiança, o ato de
abrir um livro é, sim, um ato de resistência.
A leitura exige tempo, silêncio, concentração e
vontade de compreender o outro.
Ler nos faz pensar, imaginar, questionar e nos
coloca em contato com outras formas de ver o
mundo.
A leitura amplia horizontes e permite que cada
pessoa forme suas próprias ideias
— é, portanto, um exercício de liberdade.
Marcos da Veiga Pereira. Leitura como ato de resistência. Folha de
São Paulo, Opinião, 6 jun. 2019 (adaptado).
Assinale a alternativa em que ambos os verbos são irregulares:
Provas
Questão presente nas seguintes provas
TEXTO 3
Leitura como Ato de Resistência
Ler é resistir.
Num país em que poucas pessoas leem e em que o
conhecimento é visto com desconfiança, o ato de
abrir um livro é, sim, um ato de resistência.
A leitura exige tempo, silêncio, concentração e
vontade de compreender o outro.
Ler nos faz pensar, imaginar, questionar e nos
coloca em contato com outras formas de ver o
mundo.
A leitura amplia horizontes e permite que cada
pessoa forme suas próprias ideias
— é, portanto, um exercício de liberdade.
Marcos da Veiga Pereira. Leitura como ato de resistência. Folha de
São Paulo, Opinião, 6 jun. 2019 (adaptado).
Provas
Questão presente nas seguintes provas
TEXTO 3
Leitura como Ato de Resistência
Ler é resistir.
Num país em que poucas pessoas leem e em que o
conhecimento é visto com desconfiança, o ato de
abrir um livro é, sim, um ato de resistência.
A leitura exige tempo, silêncio, concentração e
vontade de compreender o outro.
Ler nos faz pensar, imaginar, questionar e nos
coloca em contato com outras formas de ver o
mundo.
A leitura amplia horizontes e permite que cada
pessoa forme suas próprias ideias
— é, portanto, um exercício de liberdade.
Marcos da Veiga Pereira. Leitura como ato de resistência. Folha de
São Paulo, Opinião, 6 jun. 2019 (adaptado).
No trecho: “A leitura exige tempo, silêncio, concentração e vontade de compreender o outro.”
A conjunção “e” estabelece ideia de:
Provas
Questão presente nas seguintes provas
TEXTO 2
O Lançador de Estrelas
Um homem caminhava pela praia ao amanhecer e
viu outro recolhendo estrelas-do-mar que haviam
sido trazidas pela maré. Ele as pegava uma a uma e
as devolvia ao mar.
Intrigado, o homem perguntou:
— Por que está fazendo isso? Há milhares de estrelas espalhadas
pela areia.
O outro respondeu: — Porque se eu não devolver essas, elas morrerão.
O homem sorriu e disse: — Mas você não pode
salvar todas!
O outro, pegando mais uma estrela, lançou-a ao mar
e respondeu: — Para esta aqui, eu fiz toda a
diferença.
Loren Eiseley, O Universo Inesperado, 1969 (adaptado).
Provas
Questão presente nas seguintes provas
Cadernos
Caderno Container