Foram encontradas 50 questões.
O valor real da expressão abaixo é:

Provas
Questão presente nas seguintes provas
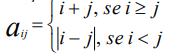
Uma matriz A de ordem 3 tem a seguinte regra de formação:

O determinante de A é:
Provas
Questão presente nas seguintes provas
Um capital de R$24.000,00 foi aplicado a juros
compostos semestrais de 5% durante um ano. Após esse
período, o rendimento da aplicação foi de:
Provas
Questão presente nas seguintes provas
O valor de m para que na divisão do polinômio
P(x) = 8x3 + 4x2 + 2x + m pelo polinômio
Q(x) = 2x + 1
o resto seja igual a 5 é:
Provas
Questão presente nas seguintes provas
Dado que senα = x2 - 5x + 5, então
x ∈ ℝ tal que:
Provas
Questão presente nas seguintes provas
Observe a sequência numérica S abaixo:
S = -3, 2, 3/2, 5, -3/4, 8, 3/8, 11...
O vigésimo primeiro termo de S é:
Provas
Questão presente nas seguintes provas
Dois dados iguais de seis faces são lançados
simultaneamente. A probabilidade da soma dos
resultados desses dados ser pelo menos 7 é:
Provas
Questão presente nas seguintes provas
Um comerciante adquiriu para revenda duas
mercadorias, X e Y, cada uma pelo mesmo preço de
custo. A mercadoria X foi revendida com lucro de 25%
e a mercadoria Y com prejuízo de 5%. O total das duas
revendas foi de R$1.848,00. Logo, o lucro total do
comerciante após essas revendas foi de:
Provas
Questão presente nas seguintes provas
Observe a soma binominal abaixo:

O valor de n é:
Provas
Questão presente nas seguintes provas
Duas funções, f e g, são tais que f(x + 1) = x2 - 9x + 20 e g(x - 3) = x2 - 5x + 6 .
Assim, a mediana entre os zeros de
f (x)
e
g(x)
é:
Provas
Questão presente nas seguintes provas
Cadernos
Caderno Container