Foram encontradas 50 questões.
Paulo precisa aplicar um impermeabilizante nas
paredes laterais e no piso de uma caixa d’água
na forma de um cilindro. Ele usa um barbante
de tamanho fixo para medir o perímetro da
circunferência da base do cilindro. Ele mede
que o comprimento do barbante é metade do
perímetro da caixa d’água e que a altura do
cilindro é 3/2 do comprimento do barbante. Um
pote do impermeabilizante que Paulo comprará
custa R$ 25,00 e pode ser aplicado em até 2
metros quadrados de área. Quanto Paulo
precisará gastar na compra do
impermeabilizante sabendo que o comprimento
do barbante que ele utilizou é 3 metros?
Considere π ≈ 3.
Provas
Questão presente nas seguintes provas
A considere a expressão abaixo:
144x2 − 25
Uma forma fatorada da expressão é:
Provas
Questão presente nas seguintes provas
Nos Estados Unidos da América há 50 estados,
cada qual possui 2 representantes no senado.
Será formado um comitê de senadores
composto de 50 senadores escolhidos ao acaso.
Qual é a probabilidade de que este comitê
possua ao menos 1 representante do estado da
Flórida?
Provas
Questão presente nas seguintes provas
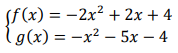
Considere as duas funções do 2º grau:
As duas parábolas acima se cruzam em dois pontos: um deles possui uma abcissa positiva e o outro uma abcissa negativa. Qual o valor da ordenada do ponto de abcissa negativa?
As duas parábolas acima se cruzam em dois pontos: um deles possui uma abcissa positiva e o outro uma abcissa negativa. Qual o valor da ordenada do ponto de abcissa negativa?
Provas
Questão presente nas seguintes provas
Numa prova com três questões a nota vai de 0 a
10. A nota da prova de cada aluno é a soma da
pontuação de cada questão e a pontuação de
cada questão é calculada com base no número
de estudantes que a acertaram. Quanto mais
estudantes acertaram uma determinada questão,
menor sua pontuação. A tabela abaixo mostra o
número de estudantes (dentre os 50 que fizeram
a prova) que acertaram cada questão:
Com base nessas informações, qual a pontuação da questão 02
Com base nessas informações, qual a pontuação da questão 02
Provas
Questão presente nas seguintes provas
Suponha que numa turma de 15 colegas de
trabalho, a média das suas idades é 35 anos. Se
a pessoa mais velha da turma for retirada do
grupo, a média passará a ser 33 anos. Qual a
idade da pessoa que foi retirada?
Provas
Questão presente nas seguintes provas
3864470
Ano: 2024
Disciplina: Matemática Financeira
Banca: Avança SP
Orgão: Pref. Caçapava-SP
Disciplina: Matemática Financeira
Banca: Avança SP
Orgão: Pref. Caçapava-SP
Provas:
Num determinado mês, Carmen usou seu
capital para fazer uma aplicação num sistema
de juro simples, com taxa de juro de 3% ao mês.
Três meses depois, ela convenceu o seu amigo,
Guilherme, a fazer também uma aplicação a
juro simples. Guilherme só tinha metade do
capital inicial de Camen, porém ele conseguiu
uma taxa de juro bastante atrativa. Ele calculou
que, dadas as condições, 50 meses após aquela
data, ele iria ter o mesmo montante que
Carmen. Nesta situação, qual foi a taxa de juro
oferecida à Guilherme? Indique o número mais
próximo:
Provas
Questão presente nas seguintes provas
Dado um poliedro convexo que tem 20 faces e
12 vértices, indique seu número de arestas:
Provas
Questão presente nas seguintes provas
Observe a figura abaixo que mostra um triângulo equilátero com um quadrado inscrito:

Sabendo que o triângulo tem lado L, indique a área do quadrado:
Provas
Questão presente nas seguintes provas
O Brasil é o maior produtor de café do mundo.
Suponha que num dado ano, de todo o café
produzido no planeta, o Brasil foi responsável
por 50% da produção. No ano seguinte, o Brasil
aumentou sua produção em 60%, enquanto
todos os outros países mantiveram a produção
exatamente igual. Neste ano seguinte, quantos
por cento da produção mundial o Brasil deterá,
aproximadamente?
Provas
Questão presente nas seguintes provas
Cadernos
Caderno Container