Foram encontradas 50 questões.
Em 2018, Ubiratan D’Ambrósio cita que:
“As implicações pedagógicas do Programa Etnomatemática para o ensino da Matemática escolar, em todos os níveis de escolaridade, recorrem a conteúdos abrangentes, provenientes de tradições e também a recentes avanços da matemática.”
D’AMBRÓSIO, U. Etnomatemática, justiça social e sustentabilidade. Estudos Avançados. 2018, v. 32, n. 94, pp. 189-204.
Neste texto, o autor traz como proposta prática de implicações da Etnomatemática na sala de aula:
“As implicações pedagógicas do Programa Etnomatemática para o ensino da Matemática escolar, em todos os níveis de escolaridade, recorrem a conteúdos abrangentes, provenientes de tradições e também a recentes avanços da matemática.”
D’AMBRÓSIO, U. Etnomatemática, justiça social e sustentabilidade. Estudos Avançados. 2018, v. 32, n. 94, pp. 189-204.
Neste texto, o autor traz como proposta prática de implicações da Etnomatemática na sala de aula:
Provas
Questão presente nas seguintes provas
Jogando-se dois dados de 6 lados, não-viciados,
ao acaso, qual a probabilidade de que a soma
dos resultados seja um número primo ou
múltiplo de 3?
Provas
Questão presente nas seguintes provas
Observe as seguintes afirmativas:
I – O número zero é um número irracional;
II – A dízima periódica 0,99999… é um número irracional;
III – A multiplicação de dois números irracionais pode resultar num número racional.
Estão corretas:
I – O número zero é um número irracional;
II – A dízima periódica 0,99999… é um número irracional;
III – A multiplicação de dois números irracionais pode resultar num número racional.
Estão corretas:
Provas
Questão presente nas seguintes provas
Um site revende os produtos de uma empresa e
o site cobra uma comissão da empresa por esse
serviço. Se o site vender até 200 itens, a
comissão cobrada é 7% do valor total das
vendas. Se o site vender mais de 200 itens, a
comissão cobrada passa a ser 8,5%. O lucro da
empresa nessa parceria é o valor total das
vendas menos a comissão paga ao site.
Considere que L(x) é o lucro da empresa com x itens vendidos. Qual deve ser o valor de x >
200 para que L(x) seja maior que L(200)?
Suponha que todos os itens sejam vendidos pelo
mesmo valor.
Provas
Questão presente nas seguintes provas
Considere a soma:
S = 1 + q + q2 + q3 + … + q qn
Sabendo que q ≠ 1 e n é inteiro positivo, podemos afirmar que a soma S vale:
Provas
Questão presente nas seguintes provas
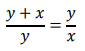
Dizemos que dois números positivos y > x estão em razão áurea se eles satisfazem as relações

Além disso, temos também que y / x = β, onde β é uma constante chamada de razão áurea. Calculando a constante β a partir das relações, ela será igual a:
Provas
Questão presente nas seguintes provas
Uma empresa registra seus lucros mensais.
Esses números para o último semestre do ano
passado são exibidos no gráfico abaixo:
A soma da média e da mediana desse conjunto de dados é, respectivamente:
A soma da média e da mediana desse conjunto de dados é, respectivamente:
Provas
Questão presente nas seguintes provas
Observe o gráfico de duas retas que se intersectam abaixo:

Qual o valor de α, abcissa onde as retas se intersectam?
Provas
Questão presente nas seguintes provas
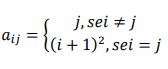
Seja A uma matriz 3x3 cujos elementos são:

O determinante dessa matriz vale:
Provas
Questão presente nas seguintes provas
Considere o polinômio do 2º grau:
p(x) = 3x2 + x + 1/2
Avalie as afirmações a seguir:
I – O polinômio dado possui uma raiz complexa e uma raiz real.
II – O polinômio dado cruza o eixo das abcissas em x = 1 e x = √6.
III – O polinômio dado possui duas raízes complexas.
IV – Uma das raízes do polinômio dado é −(1 + i√5) / 6.
Estão INCORRETAS:
p(x) = 3x2 + x + 1/2
Avalie as afirmações a seguir:
I – O polinômio dado possui uma raiz complexa e uma raiz real.
II – O polinômio dado cruza o eixo das abcissas em x = 1 e x = √6.
III – O polinômio dado possui duas raízes complexas.
IV – Uma das raízes do polinômio dado é −(1 + i√5) / 6.
Estão INCORRETAS:
Provas
Questão presente nas seguintes provas
Cadernos
Caderno Container