Foram encontradas 50 questões.
No hexágono regular a seguir:
Indique o comprimento do segmento AC sabendo que o lado do hexágono mede L:
Indique o comprimento do segmento AC sabendo que o lado do hexágono mede L:
Provas
Questão presente nas seguintes provas
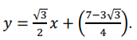
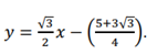
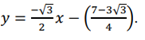
Indique a equação da reta que intercepta a
parábola −x2 + 3x − 4 no seu ponto de
máximo e que tem inclinação igual a √3 /2
Provas
Questão presente nas seguintes provas
Na teoria da relatividade restrita, um
observador que se move com velocidade v em
relação a outro dito em repouso, observa um
evento com duração temporal de T0, enquanto o
observador em repouso observa este mesmo
evento com duração temporal de T. Ambas as
durações estão ligadas pela expressão:
Onde c é a velocidade da luz. Com base na expressão dada, é correto afirmar que:
Onde c é a velocidade da luz. Com base na expressão dada, é correto afirmar que:
Provas
Questão presente nas seguintes provas
No estudo das propriedades de materiais, é
muito comum se utilizar uma grandeza
chamada de superfície específica. Ela pode ser
definida como a razão entre a área superficial
total de um material e a sua massa. Suponha que
a superfície específica de um determinado
material em pó é dada por 6000 cm2
/g. Esse
valor expresso em m2
/kg é:
Provas
Questão presente nas seguintes provas
Considere um polígono convexo de N lados,
não necessariamente regular. Considere
também as seguintes afirmativas:
I – A soma dos ângulos internos é sempre igual a 180° ⋅ (N − 2);
II – A soma dos ângulos externos é sempre igual a 360°;
III – Todos os ângulos internos são iguais entre si;
Estão corretas:
I – A soma dos ângulos internos é sempre igual a 180° ⋅ (N − 2);
II – A soma dos ângulos externos é sempre igual a 360°;
III – Todos os ângulos internos são iguais entre si;
Estão corretas:
Provas
Questão presente nas seguintes provas
Com relação a estruturação e uso do e-mail,
marcar C para as afirmativas Certas, E para as
Erradas e, após, assinalar a alternativa que
apresenta a sequência CORRETA:
( ) Para utilizar o e-mail é necessário fazer o cadastro de uma conta em um provedor de e-mail.
( ) Todos os provedores de e-mail são pagos, portanto, terá um custo para criar cada uma das contas que serão usadas.
( ) Para que o computador não corra risco de contrair vírus por intermédio do e-mail, recomenda-se utilizar um antivírus.
( ) Para utilizar o e-mail é necessário fazer o cadastro de uma conta em um provedor de e-mail.
( ) Todos os provedores de e-mail são pagos, portanto, terá um custo para criar cada uma das contas que serão usadas.
( ) Para que o computador não corra risco de contrair vírus por intermédio do e-mail, recomenda-se utilizar um antivírus.
Provas
Questão presente nas seguintes provas
O correio eletrônico ou também conhecido
como e-mail é um método que permite compor,
enviar e receber mensagens através de sistemas
eletrônicos de comunicação.
Uma das vantagens do uso do e-mail é:
Uma das vantagens do uso do e-mail é:
Provas
Questão presente nas seguintes provas
3863865
Ano: 2024
Disciplina: TI - Redes de Computadores
Banca: Avança SP
Orgão: Pref. Caçapava-SP
Disciplina: TI - Redes de Computadores
Banca: Avança SP
Orgão: Pref. Caçapava-SP
Provas:
Os endereços da internet são geralmente
compostos por três parâmetros diferentes. O
WWW no início dos endereços corresponde a
abreviação de:
Provas
Questão presente nas seguintes provas
3863864
Ano: 2024
Disciplina: TI - Segurança da Informação
Banca: Avança SP
Orgão: Pref. Caçapava-SP
Disciplina: TI - Segurança da Informação
Banca: Avança SP
Orgão: Pref. Caçapava-SP
Provas:
Uma das formas de aumentar o nível de
segurança na navegação da internet é:
Provas
Questão presente nas seguintes provas
3863863
Ano: 2024
Disciplina: TI - Segurança da Informação
Banca: Avança SP
Orgão: Pref. Caçapava-SP
Disciplina: TI - Segurança da Informação
Banca: Avança SP
Orgão: Pref. Caçapava-SP
Provas:
A respeito das medidas de segurança na
navegação na internet, analisar as afirmações a
seguir:
I. É recomendado manter os softwares de navegação sempre atualizados.
II. É importante definir Passwords diferentes para diferentes contas que são utilizadas na internet.
III. Uma das formas comuns de apanhar vírus é baixando ficheiros aparentemente confiáveis na internet.
Está(ão) Correto(s):
I. É recomendado manter os softwares de navegação sempre atualizados.
II. É importante definir Passwords diferentes para diferentes contas que são utilizadas na internet.
III. Uma das formas comuns de apanhar vírus é baixando ficheiros aparentemente confiáveis na internet.
Está(ão) Correto(s):
Provas
Questão presente nas seguintes provas
Cadernos
Caderno Container