Foram encontradas 60 questões.
Escrevendo-se 3,05 × 106, por extenso, obtém-se:
Provas
Assinale a alternativa correta.

Provas
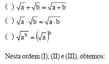
Nas sentenças abaixo, marque com F as sentenças falsas e com V as sentenças verdadeiras. Considere a e b números positivos.

Provas
Além de constituir uma exigência formal, contida inclusive na Lei de Diretrizes e Bases da Educação Nacional, o projeto pedagógico revela-se uma necessidade cotidiana das instituições educativas e um instrumento eficaz para a implementação de suas ações. Nessa perspectiva, o projeto pedagógico caracteriza-se, essencialmente, como
Provas
Como responsável pelo processo de ensino, o professor exerce uma autoridade na sala de aula que deve ser fruto de qualidades que se manifestam no domínio da matéria que ensina, no senso de justiça e na capacidade pedagógico-didática, ou seja, em qualidades
Provas
Durante os encontros para a preparação do ano letivo em uma escola, alguns tópicos foram considerados como os mais importantes. Dentre eles, destaca-se o conhecimento da realidade dos estudantes e, por isso, no planejamento das atividades, foi preciso levar-se em con
Provas
Destacar propriedades essenciais de objetos ou fenômenos, fazer relações, comparar, diferenciar, organizar o trabalho escolar, fazer síntese e esquemas, são exemplos de
Provas
A professora Lúcia, que atua no Ensino Fundamental, acredita que os alunos não podem ser considerados como seres passivos no processo ensino-aprendizagem. Ela entende que a aprendizagem ocorre quando os alunos interagem com seus objetos de conhecimento, formulam hipóteses sobre os mesmos, testam essas hipóteses e, se for o caso, modificam-nas. Assim, Lúcia planeja suas ações pedagógicas de modo a criar situações-problema que desafiem os alunos e os levem a buscar soluções. A prática pedagógica dessa professora inspira-se nas idéias de
Provas
No contexto brasileiro, a obra mais significativa referente à Abordagem sócio-cultural do processo de ensino é a de Paulo Freire, com sua preocupação com a cultura popular. Quanto ao processo ensino-aprendizagem, a principal característica dessa abordagem é:
Provas
A formação da teoria didática para investigar as ligações entre ensino e aprendizagem e suas leis ocorreu no século XVII, quando
Provas
Caderno Container