Magna Concursos

Foram encontradas 110 questões.

1193644 Ano: 2019
Disciplina: Matemática Financeira
Banca: PUC-PR
Orgão: Pref. Campo Grande-MS
Um título de valor nominal N, a vencer no instante n, foi colocado para desconto num banco operando com uma taxa de desconto i, na modalidade Desconto Comercial, capitalização simples. Suponha que o mesmo título, nas mesmas condições especificadas, tenha sido descontado na modalidade Desconto Racional. Para o caso específico, assinale dentre as alternativas seguintes a única CORRETA.
 

Provas

Questão presente nas seguintes provas
1193643 Ano: 2019
Disciplina: Matemática Financeira
Banca: PUC-PR
Orgão: Pref. Campo Grande-MS

A tabela seguinte mostra a opção de um Negócio na qual o valor no instante zero significa o desembolso, e os demais, as receitas esperadas. Por inspeção visual, verifica-se que para uma taxa de juro igual a zero, o retorno desse investimento é positivo, e para uma taxa de juro de 50% ao ano o retorno é negativo.

(Considere √69 = 8,307).

Valores em reais Data de vencimento em anos

-10.000 0

6.000 1

6.000 2

Assim, assinale a opção que representa a taxa interna de retorno anual dessa proposta de Negócio.

 

Provas

Questão presente nas seguintes provas
1193642 Ano: 2019
Disciplina: Matemática Financeira
Banca: PUC-PR
Orgão: Pref. Campo Grande-MS

O Sistema de Amortização Constante (SAC) e o Sistema Francês, conhecido também como “Tabela Price” são os sistemas de amortização mais utilizados no Brasil, segundo VIEIRA SOBRINHO.

Preencha o espaço entre parênteses com V se o enunciado for verdadeiro ou F caso o enunciado seja falso. Em seguida assinale a alternativa CORRETA.

( ) Tanto no Sistema Francês quanto no SAC, a prestação é composta de Juro e Amortização.

( ) No Sistema Francês as prestações variam linearmente, decrescendo de um período para outro.

( ) No SAC, as prestações são constantes.

( ) Tanto no Sistema Francês quanto no SAC, a taxa de juros é aplicada sobre o Saldo Devedor anterior para apurar o juro embutido na prestação atual.

 

Provas

Questão presente nas seguintes provas
1193641 Ano: 2019
Disciplina: Matemática Financeira
Banca: PUC-PR
Orgão: Pref. Campo Grande-MS

Certo contribuinte tem uma dívida junto a Receita Municipal representada por meio do diagrama seguinte, na qual os períodos são mensais, e os valores em reais.

enunciado 1193641-1

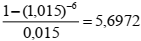
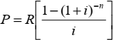
Considere os dados a seguir:

a) O Valor Presente P (ou Valor Atual) de uma Série Uniforme (Modelo Básico de Anuidade) é dado pela expressão seguinte, enunciado 1193641-2 , na qual R é o termo constante.

b) enunciado 1193641-3

c) (1,015)-4 = 0,9422

Determine o valor V desta dívida no instante zero, cujo valor o contribuinte pretende saldar imediatamente, desde que seja beneficiado por uma taxa de juros de 1,5% ao mês, capitalização composta. Nessas condições, a dívida no instante zero, em reais, será de.

 

Provas

Questão presente nas seguintes provas
1193640 Ano: 2019
Disciplina: Matemática Financeira
Banca: PUC-PR
Orgão: Pref. Campo Grande-MS
“Nos mercados financeiros, brasileiro e mundial, mesmo entre os professores, técnicos e executivos, reina muita confusão quanto ao conceito e à classificação das taxas de juros, principalmente no que se refere às taxas nominal, efetiva e real” (Vieira Sobrinho, 2018, p. 161). Apesar da confusão citada, autores consagrados da Matemática Financeira, entre eles o próprio VIEIRA SOBRINHO e também MATHIAS se alinham sobre o conceito de taxa nominal e efetiva. Assim, dentre as alternativas seguintes, assinale a única opção CORRETA.
 

Provas

Questão presente nas seguintes provas
2727030 Ano: 2019
Disciplina: Estatística
Banca: PUC-PR
Orgão: Pref. Campo Grande-MS

A relação entre a quantidade de cerveja consumida e o número de clientes do estabelecimento Rock pode ser representado pelo seguinte gráfico:

enunciado 3252649-1

É possível através de tal gráfico de dispersão projetar valores futuros por meio da regressão e correlação linear estabelecida entre as variáveis. Para que isso ocorra, deve-se estabelecer uma equação de regressão que fornece a modelagem entre as variáveis e o coeficiente de correlação que mede o grau de relacionamento entre as mesmas. Nestas condições, qual deve ser o valor da regressão para que os valores projetados sejam confiáveis?

Questão Anulada

Provas

Questão presente nas seguintes provas
2727029 Ano: 2019
Disciplina: Direito Constitucional
Banca: PUC-PR
Orgão: Pref. Campo Grande-MS
Imunidade tributária é hipótese de não incidência constitucionalmente qualificada. Em relação às imunidades, assinale a opção CORRETA.
Questão Anulada

Provas

Questão presente nas seguintes provas
1193743 Ano: 2019
Disciplina: Informática
Banca: PUC-PR
Orgão: Pref. Campo Grande-MS

A planilha eletrônica de DIAGNÓSTICO, feita no Microsoft Excel 2016, visa efetuar um teste para determinar a situação física de um indivíduo, dados o Nome do indivíduo, Idade, Peso, Altura e um Código indicando a atividade física que o indivíduo deseja fazer. Veja a planilha a seguir.

enunciado 1193743-1

O IMC (Índice de Massa Corporal) determina se o indivíduo está no peso ideal pela fórmula IMC = PESO / (ALTURA2). Qual alternativa indica a ordem CORRETA do comando?
Questão Anulada

Provas

Questão presente nas seguintes provas
1193742 Ano: 2019
Disciplina: Informática
Banca: PUC-PR
Orgão: Pref. Campo Grande-MS
O computador é uma máquina que pode ser programada para aceitar dados (entrada), transformá-los em informação (saída) útil e armazená-los para proteção ou reutilização. Portanto, para funcionar, o computador necessita dos dispositivos de entrada, de processamento e de saída. Os dispositivos de entradas mais comuns são
Questão Anulada

Provas

Questão presente nas seguintes provas
1193741 Ano: 2019
Disciplina: Informática
Banca: PUC-PR
Orgão: Pref. Campo Grande-MS
Sobre criptografia assimétrica é CORRETO afirmar que
Questão Anulada

Provas

Questão presente nas seguintes provas