Foram encontradas 60 questões.
Em um estudo sobre a composição de uma solução química, a razão entre os volumes de dois líquidos
A e B é de 5:3. Se a quantidade de líquido usada na solução é 60 ml, qual é a quantidade de líquido B?
Provas
Questão presente nas seguintes provas
O diâmetro, em centímetros, de um círculo é o dobro de uma dúzia. Qual é o triplo do comprimento da circunferência, considerando π = 3,14?
Provas
Questão presente nas seguintes provas
Em um polígono regular de 18 lados, seja x a medida de um de seus ângulos externos. Qual é o valor da
expressão -2x2 − 3x + 12?
Provas
Questão presente nas seguintes provas
Em um triângulo retângulo, um dos ângulos agudos mede 45° e o comprimento do maior lado mede 40
cm, qual é a medida de um dos catetos desse triângulo?
Provas
Questão presente nas seguintes provas
Duas retas paralelas r e s são cortadas por uma transversal t. Sabemos que um dos ângulos internos
formados entre a reta r e a transversal t é de 60° menor que um ângulo raso. Qual é a medida do ângulo
alternado interno formado entre a reta s e a transversal t?
Provas
Questão presente nas seguintes provas
Seja
qual é o dobro do valor do determinante de AT?
qual é o dobro do valor do determinante de AT?Provas
Questão presente nas seguintes provas
De acordo com a BNCC, são objetos de conhecimentos do 8º ano, EXCETO:
Provas
Questão presente nas seguintes provas
A Política Nacional de Educação Especial na Perspectiva da Educação Inclusiva busca implementar
práticas que garantam a inclusão efetiva de alunos com deficiência, transtornos globais do desenvolvimento
e altas habilidades/superdotação. Considerando os princípios orientadores dessa política, quais as seguintes
afirmações não estão de acordo com seus objetivos e diretrizes?
Provas
Questão presente nas seguintes provas
Sobre a função g(x) = (3 + 2α)x + (-1 + α) + (1 + α)x2, sabe-se que ela não tem raiz real. Sendo assim, podemos afirmar que:
Provas
Questão presente nas seguintes provas
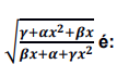
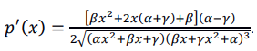
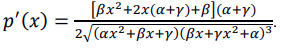
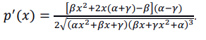
Considerando α,β e y números reais, a derivada da função p(x) = 

Provas
Questão presente nas seguintes provas
Cadernos
Caderno Container