Foram encontradas 40 questões.
Conforme a Constituição Estadual do Rio Grande do Sul (RS), são bens do RS,
EXCETO:
Provas
Questão presente nas seguintes provas
No que se refere ao estado do Rio Grande do Sul (RS), é correto afirmar que:
Provas
Questão presente nas seguintes provas
Com base na Constituição Estadual, em relação às competências exclusivas da
Assembleia Legislativa, analise as assertivas abaixo, assinalando V, se verdadeiras, ou F, se falsas.
( ) Processar e julgar o Governador e o Vice-Governador do Estado nos crimes de responsabilidade, e os Secretários de Estado nos crimes da mesma natureza conexos com aqueles.
( ) Processar e julgar Mandado de Segurança.
( ) Nomear o Procurador-Geral do Estado.
( ) Ordenar a sustação de contrato impugnado pelo Tribunal de Contas.
A ordem correta para preenchimento dos parênteses, de cima para baixo, é:
( ) Processar e julgar o Governador e o Vice-Governador do Estado nos crimes de responsabilidade, e os Secretários de Estado nos crimes da mesma natureza conexos com aqueles.
( ) Processar e julgar Mandado de Segurança.
( ) Nomear o Procurador-Geral do Estado.
( ) Ordenar a sustação de contrato impugnado pelo Tribunal de Contas.
A ordem correta para preenchimento dos parênteses, de cima para baixo, é:
Provas
Questão presente nas seguintes provas
Conforme o Regime Jurídico dos Servidores Públicos do Município de Casca, NÃO são
formas de provimento dos cargos públicos:
Provas
Questão presente nas seguintes provas
Considerando os polinômios P(x) = x3 + 12x2 + 36x e Q(x) = x4 + 6x3 − 2x2 − 12x,
qual a expressão que representa a razão P(x)/Q(x)
?
Provas
Questão presente nas seguintes provas
Um reservatório cujo volume é 65,4 m3 está com sua capacidade pela metade.
Porém, será completado com um cano cuja vazão é 250 ml por segundo. Quanto tempo será
necessário para encher completamente o referido reservatório?
Provas
Questão presente nas seguintes provas
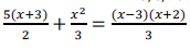
Qual o valor de x se obtém ao resolver a equação 
Provas
Questão presente nas seguintes provas
Ao efetuar o produto obtém-se um número:
Provas
Questão presente nas seguintes provas
Instrução: A questão refere-se ao texto abaixo. Os destaques ao
longo do texto estão citados na questão.
Os testes de QI
Por Bruno Garattoni e Eduardo Szklarz

(Disponível em: https://super.abril.com.br/especiais/a-era-da-burrice/ – texto adaptado especialmente para
esta prova).
Provas
Questão presente nas seguintes provas
Instrução: A questão refere-se ao texto abaixo. Os destaques ao
longo do texto estão citados na questão.
Os testes de QI
Por Bruno Garattoni e Eduardo Szklarz

(Disponível em: https://super.abril.com.br/especiais/a-era-da-burrice/ – texto adaptado especialmente para
esta prova).
“O QI da população japonesa, por exemplo, chegou a crescer 7,7 pontos por década após a 2ª Guerra Mundial; uma consequência direta da melhora nas condições de vida por lá”.
Provas
Questão presente nas seguintes provas
Cadernos
Caderno Container