Foram encontradas 40 questões.
3113909
Ano: 2024
Disciplina: Engenharia Elétrica
Banca: Instituto Access
Orgão: Pref. Cataguases-MG
Disciplina: Engenharia Elétrica
Banca: Instituto Access
Orgão: Pref. Cataguases-MG
Provas:
As centrais termelétricas são instalações que geram eletricidade a
partir da queima de combustíveis fósseis, como carvão, gás natural
ou óleo. Sobre as centrais termelétricas é incorreto afirmar que
Provas
Questão presente nas seguintes provas
3113908
Ano: 2024
Disciplina: Engenharia Mecânica
Banca: Instituto Access
Orgão: Pref. Cataguases-MG
Disciplina: Engenharia Mecânica
Banca: Instituto Access
Orgão: Pref. Cataguases-MG
Provas:
Um objeto está submerso em um fluido em equilíbrio estático a uma
profundidade h. Nessas condições, a pressão sobre o objeto p1 = p.
Em seguida, o objeto foi colocado em uma profundidade 3h e a
pressão sobre o objeto passou a ser p2 = 2p. Sabendo que a pressão
na superfície é dada por p0 = 10 MPa, as pressões p1 e p2, são,
respectivamente, iguais a
Provas
Questão presente nas seguintes provas
3113907
Ano: 2024
Disciplina: Eletroeletrônica
Banca: Instituto Access
Orgão: Pref. Cataguases-MG
Disciplina: Eletroeletrônica
Banca: Instituto Access
Orgão: Pref. Cataguases-MG
Provas:
Um sistema mecânico mola-amortecedor é modelado através da
seguinte equação diferencial:
m x’’ = Fr – B x’ – Ks x
em que Fr é a força de entrada, x é a posição de saída da massa, m é a massa, B é o coeficiente de amortecimento do amortecedor e Ks é a constante elástica da mola. Considerando as condições iniciais nulas, que a massa seja igual a 50 kg, que a mola tenha uma constante elástica de 20 N/m e que o coeficiente de amortecimento do amortecedor seja igual a 2, a função de transferência, isto é, a razão X(s)/Fr(s), é dada por
m x’’ = Fr – B x’ – Ks x
em que Fr é a força de entrada, x é a posição de saída da massa, m é a massa, B é o coeficiente de amortecimento do amortecedor e Ks é a constante elástica da mola. Considerando as condições iniciais nulas, que a massa seja igual a 50 kg, que a mola tenha uma constante elástica de 20 N/m e que o coeficiente de amortecimento do amortecedor seja igual a 2, a função de transferência, isto é, a razão X(s)/Fr(s), é dada por
Provas
Questão presente nas seguintes provas
3113906
Ano: 2024
Disciplina: Engenharia Elétrica
Banca: Instituto Access
Orgão: Pref. Cataguases-MG
Disciplina: Engenharia Elétrica
Banca: Instituto Access
Orgão: Pref. Cataguases-MG
Provas:
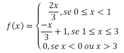
Em um projeto de engenharia elétrica para uma instalação de
energia renovável, como um parque eólico, é importante entender
a distribuição da velocidade do vento para otimizar o funcionamento
dos geradores eólicos. Para modelar essa distribuição, é utilizada
uma variável aleatória contínua X que representa a velocidade do
vento em determinada altura, em decâmetros por segundo (10 m/s).
Considere a seguinte função densidade de probabilidade f (x) para a
variável aleatória X:

Dessa forma, o valor esperado para a velocidade do vento, em m/s, é aproximadamente igual a

Dessa forma, o valor esperado para a velocidade do vento, em m/s, é aproximadamente igual a
Provas
Questão presente nas seguintes provas
3113905
Ano: 2024
Disciplina: Engenharia Elétrica
Banca: Instituto Access
Orgão: Pref. Cataguases-MG
Disciplina: Engenharia Elétrica
Banca: Instituto Access
Orgão: Pref. Cataguases-MG
Provas:
Em uma planta industrial, um engenheiro elétrico está projetando o
sistema de aterramento para uma nova linha de produção. Ele
precisa garantir que o sistema de aterramento atenda aos padrões
de segurança e seja capaz de lidar com as condições ambientais e as
correntes de fuga esperadas.
No projeto do sistema de aterramento de uma planta industrial, qual é a principal consideração em relação à escolha do tipo de eletrodo de aterramento a ser utilizado?
No projeto do sistema de aterramento de uma planta industrial, qual é a principal consideração em relação à escolha do tipo de eletrodo de aterramento a ser utilizado?
Provas
Questão presente nas seguintes provas
3113904
Ano: 2024
Disciplina: Engenharia Elétrica
Banca: Instituto Access
Orgão: Pref. Cataguases-MG
Disciplina: Engenharia Elétrica
Banca: Instituto Access
Orgão: Pref. Cataguases-MG
Provas:
Considere um conversor analógico-digital a ser usado para medir a
temperatura em um sistema de controle de climatização em um
veículo automotivo. Este sistema utiliza sensores de temperatura
para ajustar automaticamente o sistema de ar condicionado e
garantir o conforto térmico dos passageiros durante a viagem.
Considere que o sensor de temperatura possui, em sua saída, uma variação linear de 100 mV/ºC, e que o conversor analógico-digital possua uma faixa de tensão de entrada de 0 V a 16 V com uma resolução de 8 bits. Nesse caso, a menor variação de temperatura detectável por este sistema é dada por
Considere que o sensor de temperatura possui, em sua saída, uma variação linear de 100 mV/ºC, e que o conversor analógico-digital possua uma faixa de tensão de entrada de 0 V a 16 V com uma resolução de 8 bits. Nesse caso, a menor variação de temperatura detectável por este sistema é dada por
Provas
Questão presente nas seguintes provas
3113903
Ano: 2024
Disciplina: Engenharia Elétrica
Banca: Instituto Access
Orgão: Pref. Cataguases-MG
Disciplina: Engenharia Elétrica
Banca: Instituto Access
Orgão: Pref. Cataguases-MG
Provas:
Em um projeto de instalação elétrica residencial, um disjuntor
diferencial residual (DR) de 30mA é instalado para proteção dos
circuitos elétricos. Este dispositivo é fundamental para evitar
acidentes elétricos causados por falhas de isolamento ou contato
acidental com partes energizadas.
Considerando o contexto apresentado, qual é a principal função do disjuntor diferencial residual (DR) em uma instalação elétrica residencial?
Considerando o contexto apresentado, qual é a principal função do disjuntor diferencial residual (DR) em uma instalação elétrica residencial?
Provas
Questão presente nas seguintes provas
3113902
Ano: 2024
Disciplina: Engenharia Elétrica
Banca: Instituto Access
Orgão: Pref. Cataguases-MG
Disciplina: Engenharia Elétrica
Banca: Instituto Access
Orgão: Pref. Cataguases-MG
Provas:
Em uma subestação de distribuição de energia elétrica, um
transformador monofásico é utilizado para reduzir a tensão antes de
alimentar uma determinada área residencial. O transformador
possui um enrolamento primário com 1500 voltas e uma tensão de
entrada de 13,8 kV. Com base nas informações fornecidas, qual será
a tensão no enrolamento secundário do transformador, o qual
possui 250 voltas?
Provas
Questão presente nas seguintes provas
3113901
Ano: 2024
Disciplina: Engenharia Elétrica
Banca: Instituto Access
Orgão: Pref. Cataguases-MG
Disciplina: Engenharia Elétrica
Banca: Instituto Access
Orgão: Pref. Cataguases-MG
Provas:
Em muitas situações práticas é necessário reduzir a tensão elétrica
sobre uma carga. Imagine que uma fonte de tensão V está em série
com uma carga resistiva Rq de resistência Rq = R. Imagine que a
tensão sobre a carga deva ser reduzida em 10 vezes, isto é, Vq = V/10.
Para isso, será adicionado um resistor de resistência Ra em série com
a carga Rq. Nesse caso, a resistência Ra deverá ser igual a
Provas
Questão presente nas seguintes provas
3113900
Ano: 2024
Disciplina: Engenharia Elétrica
Banca: Instituto Access
Orgão: Pref. Cataguases-MG
Disciplina: Engenharia Elétrica
Banca: Instituto Access
Orgão: Pref. Cataguases-MG
Provas:
Duas cargas pontuais Q1 = 4/k µC e Q2 = 2/k µC estão localizadas no
vácuo, em que k é a constante eletrostática. Considere que as cargas
estão a uma distância de 5 mm da origem, sendo que Q1 está 5 mm
à direita da origem e Q2 está 5 mm à esquerda da origem. Em outras
palavras, r1 = (5, 0) mm é a posição de Q1 e r2 = (–5, 0) mm é a posição
de Q2, ambas no plano cartesiano. Nessas condições, assinale a
alternativa que apresente a magnitude do campo elétrico na origem,
isto é, na posição (0, 0) do plano cartesiano, dada a magnitude do
campo elétrico E = |Q|k/r2.
Provas
Questão presente nas seguintes provas
Cadernos
Caderno Container