Foram encontradas 60 questões.
A parede de um forno é constituída de duas camadas: 30 cm de tijolo refratário (k = 1,2 kcal/h.m.°C) e 20 cm de tijolo isolante (k = 0,15 kcal/h.m.°C). A temperatura da superfície interna do refratário é 2.000 °C e a temperatura da superfície externa do isolante é 200 °C. O fluxo de calor e a temperatura de interface refratário/isolante são
Provas
A produção de ácido sulfúrico pelo processo de contato, utilizando as matérias-primas anteriormente definidas, envolve os seguintes estágios básicos:
I. purificação do enxofre através de operações de fusão, sedimentação e filtração do enxofre.
II. combustão do enxofre.
III. conversão do SO2 a SO3.
IV. absorção do SO3, que é borbulhado em contracorrente com água pura, através de uma torre recheada.
Marque a opção que apresenta as afirmativas CORRETAS.
Provas
- Química OrgânicaFunções Nitrogenadas: Amina, Amida, Nitrila, Isonitrila e Nitro Composto
- Química OrgânicaFunções Oxigenadas: Álcool, Fenol e Enol
- Química OrgânicaFunções Oxigenadas: Cetona, Aldeído, Éter, Éster, Ácido Carboxílico etc.
- Química OrgânicaHidrocarbonetos
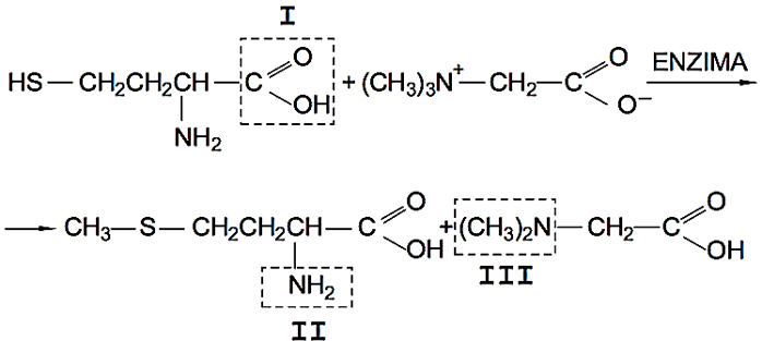
Analise as funções orgânicas a seguir.

As funções indicadas em I, II e III são, respectivamente,
Provas
Um tubo de Pitot é inserido num escoamento, conforme ilustrado. O fluido é água, e o líquido do manômetro é mercúrio. Determinar a velocidade do escoamento.
Dados: γHg =133.370,44 N/m3 - γH2O =9.806,65N/m3

Provas
Um botijão de gás contendo butano é conectado a um manômetro em forma de U, contendo mercúrio. Ao abrir o registro R, a pressão do gás provoca um desnível de mercúrio no tubo, como ilustrado na figura. Adotando a massa específica do mercúrio igual a 13,6 g/cm³, a pressão atmosférica 105 Pa e g = 10 m/s2, a pressão do gás é de

Provas
Em um processo industrial, etileno escoa a uma taxa de 2 kg.s-1 em um tubo com diâmetro interno D=10 cm. Determine a vazão volumétrica e a vazão molar, considerando que, para etileno, tem-se ρ = 580 kg.m-3.
Provas
Disciplina: Atualidades e Conhecimentos Gerais
Banca: CETREDE
Orgão: Pref. Caucaia-CE
Leia o texto a seguir sobre as ilhas de plástico nos oceanos
No meio do Oceano Pacífico, entre a Califórnia e o Havaí, existe uma gigantesca ilha feita inteiramente de lixo. Seu nome é popularmente conhecido como o “Grande Depósito de Lixo do Pacífico”. Com aproximadamente o tamanho da Inglaterra, a ilha é formada por pedaços minúsculos de plástico que foram arrastados para um ponto de convergência de diversas correntes marinhas. Grande parte dos resíduos do Atlântico e do Índico também acaba se dirigindo para o Pacífico.
Por enquanto, qual seria o jeito mais fácil de reduzir o consumo de plástico?
Provas
Disciplina: Atualidades e Conhecimentos Gerais
Banca: CETREDE
Orgão: Pref. Caucaia-CE
Leia com atenção o seguinte texto:
Codinome Beija-flor
Pra que mentir
Fingir que perdoou
Tentar ficar amigos sem rancor
A emoção acabou
Que coincidência é o amor
A nossa música nunca mais tocou...
Pra que usar de tanta educação
Pra destilar terceiras intenções
Desperdiçando o meu mel
Devagarzinho, flor em flor
Entre os meus inimigos, beija-flor
CAZUZA. Codinome Beija-flor. In: Exagerado. São Paulo: Universal, 1985, 1CD.
A sociedade brasileira tem assistido na mídia, nas redes sociais, a situações inéditas entre o governo, os parlamentares, os assessores, os que acusam e os que defendem...
Ironizando essa realidade, podemos dizer que a letra de Cazuza se aplica à(às)(aos)
Provas
Disciplina: Atualidades e Conhecimentos Gerais
Banca: CETREDE
Orgão: Pref. Caucaia-CE
Sobre responsabilidade social empresarial, analise as afirmações a seguir e assinale (V) para as VERDADEIRAS e (F) para as FALSAS.
( ) São ações das empresas que beneficiam a sociedade, são causas sociais relevantes para as comunidades, contribuindo com a política social.
( ) É uma forma de gestão que pretende difundir os impactos negativos no meio ambiente e comunidades, nos recursos ambientais e culturais.
( ) São as corporações conscientizando-se do seu papel no desenvolvimento na comunidade em que estão inseridas, criando programas que levam em consideração a natureza, economia, educação, saúde, atividades locais, transportes.
( ) São ações restritas ao meio ambiente, onde empresas plantam árvores no lugar das que foram derrubadas, por exemplo, e desenvolvem ações de proteção aos animais.
( ) São programas de recuperação da área onde está instalada a empresa, programas sociais de desenvolvimento sustentável, projetos educacionais da preservação da natureza, trabalhos voluntários por parte dos funcionários.
Marque a opção que apresenta a sequência CORRETA.
Provas
Disciplina: Atualidades e Conhecimentos Gerais
Banca: CETREDE
Orgão: Pref. Caucaia-CE
Em um mundo onde a tecnologia se torna cada vez mais presente no nosso cotidiano, a relação entre as pessoas fica cada vez mais resumida a essa ferramenta. Atualmente, tudo está ligado à internet, seja a comunicação entre as pessoas – por meio das redes sociais -, o trabalho, as atividades escolares… E é devido a esse desenvolvimento que a população tem acesso a um grande número de informação, desde notícias sobre artistas a discussões mais variadas. A exposição das pessoas, de suas famílias, hábitos, preferências e dados nas redes sociais são tamanhos que apontam para um “mundo incontrolável”, no qual ainda não é possível avaliar as extensões dos riscos versus benefícios.
Recentemente, um acontecimento deixou em alerta a exposição de pessoas nas redes sociais. Estamos falando do caso
Provas
Caderno Container