Foram encontradas 70 questões.
Dada à função f(x) = sen(x), sua imagem será:
Provas
Questão presente nas seguintes provas
- FundamentosPotenciação e RadiciaçãoRadiciação
- FundamentosPotenciação e RadiciaçãoPotenciação
- Álgebra
A solução para a equação 33x+7 = 3√2187 é :
Provas
Questão presente nas seguintes provas
Em um fim de semana com várias festas, Cátia
consegue vender um total de 1.200 salgados,
entre coxinhas e esfihas. E arrecada um valor R$
660,00. Sabendo que o valor unitário da coxinha
é de R$ 0,50 e da esfiha R$ 1,00, quantas
coxinhas e quantas esfihas foram vendidas?
Provas
Questão presente nas seguintes provas
As fórmulas devem ser consequência do
raciocínio combinatório desenvolvido frente à
resolução de problemas diversos e devem ter a
função de simplificar cálculos quando a
quantidade de dados é muito grande. Esses
conteúdos devem ter maior espaço e empenho
de trabalho no ensino médio, além de esperar
que o aluno possa se orientar frente a
informações de natureza estatística ou
probabilística, e com o auxílio de alguns
instrumentos. Dentro deste contexto é possível
afirmar que a utilização de:
Provas
Questão presente nas seguintes provas
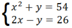
Os valores da solução para o sistema abaixo são:

Provas
Questão presente nas seguintes provas
Para que uma equação do segundo grau
qualquer possua raízes reais e iguais e ponto de
mínimo, seu discriminante e coeficiente “a”
deverão ser respectivamente:
Provas
Questão presente nas seguintes provas
Em qual das frases abaixo a crase é facultativa?
Provas
Questão presente nas seguintes provas
Assinale a alternativa em que a frase está
incorreta quanto à concordância:
Provas
Questão presente nas seguintes provas
Assinale a alternativa em que a frase está
corretamente escrita:
Provas
Questão presente nas seguintes provas
Assinale a alternativa em que pelo menos uma
das palavras deveria ter sido escrita com X e não
com CH:
Provas
Questão presente nas seguintes provas
Cadernos
Caderno Container