Magna Concursos

Foram encontradas 360 questões.

2839835 Ano: 2020
Disciplina: Matemática
Banca: GUALIMP
Orgão: Pref. Conceição Macabu-RJ
Provas:

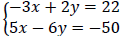
Observe o sistema abaixo:


enunciado 3256705-1


Sendo x e y a solução (x, y) desse sistema, qual o valor da expressão 2x + y ?

Questão Anulada

Provas

Questão presente nas seguintes provas
2018199 Ano: 2020
Disciplina: Português
Banca: GUALIMP
Orgão: Pref. Conceição Macabu-RJ
Provas:

O Meu Guri - Chico Buarque

Quando, seu moço, nasceu meu rebento

Não era o momento dele rebentar

Já foi nascendo com cara de fome

E eu não tinha nem nome pra lhe dar

Como fui levando, não sei lhe explicar

Fui assim levando ele a me levar

E na sua meninice ele um dia me disse

Que chegava lá

Olha aí

Olha aí

Olha aí, ai o meu guri, olha aí

Olha aí, é o meu guri

E ele chega

Chega suado e veloz do batente

E traz sempre um presente pra me encabular

Tanta corrente de ouro, seu moço

Que haja pescoço pra enfiar

Me trouxe uma bolsa já com tudo dentro

Chave, caderneta, terço e patuá

Um lenço e uma penca de documentos

Pra finalmente eu me identificar, olha aí

Olha aí, ai o meu guri, olha aí

Olha aí, é o meu guri

E ele chega

Chega no morro com o carregamento

Pulseira, cimento, relógio, pneu, gravador

Rezo até ele chegar

Cá no alto

Essa onda de assaltos

Está um horror…

Eu consolo ele

Ele me consola…

Boto ele no colo

Prá ele me ninar...

De repente acordo

Olho pro lado E o danado

Já foi trabalhar

Olha aí! Olha aí!

Aí o meu guri

Olha aí!

Olha aí!

É o meu guri

E ele chega…

Chega estampado

Manchete, retrato

Com venda nos olhos

Legenda e as iniciais…

Eu não entendo essa gente

Seu moço

Fazendo alvoroço

Demais…

O guri no mato

Acho que tá rindo

Acho que tá lindo

De papo pro ar

Desde o começo

Eu não disse

Seu moço

Ele disse que chegava lá…

Olha aí! Olha aí!

Olha aí!

Aí o meu guri

Olha aí!

Olha aí

É o meu guri…(3x)

Os termos destacados, são classificados correta e respectivamente, sintaticamente, como:
“Um lenço e uma penca de documentos Pra finalmente eu me identificar, olha ...”
Questão Anulada

Provas

Questão presente nas seguintes provas
2018198 Ano: 2020
Disciplina: Português
Banca: GUALIMP
Orgão: Pref. Conceição Macabu-RJ
Provas:
onsidere o uso adequado das palavras mal/mau:

I. ____ pude abraçá-la em meio à multidão.
II. Não é um homem confiável, tem ____ caráter.
III. Eram pessoas ____ encaradas e nos assustavam. I
V. ____ começamos a reunião, o diretor começou a passar_____.
V. Reclamar de tudo é bastante ____ para o convívio com outras pessoas.

Complete as colunas e assinale a sequência correta e respectivamente:
Questão Anulada

Provas

Questão presente nas seguintes provas
2017253 Ano: 2020
Disciplina: Educação Física
Banca: GUALIMP
Orgão: Pref. Conceição Macabu-RJ
No Ensino Fundamental, a Base Nacional Comum Curricular (BNCC) - Componente Curricular: Educação Física, aponta o objeto de conhecimento “práticas corporais de aventura urbana” a ser trabalhada com os alunos do sexto e do sétimo anos do Ensino Fundamental. De tal forma, ao desenvolver este objeto de conhecimento espera-se que os alunos desenvolvam a seguinte habilidade:
Questão Anulada

Provas

Questão presente nas seguintes provas
2017252 Ano: 2020
Disciplina: Contabilidade Pública
Banca: GUALIMP
Orgão: Pref. Conceição Macabu-RJ
Provas:
Observado o disposto pelas Normas Brasileiras de Contabilidade Aplicadas ao Setor Público, a parcela do patrimônio de Unidade Contábil Originária, representa Unidade Contábil classificada em:
Questão Anulada

Provas

Questão presente nas seguintes provas
2017251 Ano: 2020
Disciplina: Redação Oficial
Banca: GUALIMP
Orgão: Pref. Conceição Macabu-RJ
Provas:
De qual redação oficial o texto a seguir refere-se?
É a modalidade de comunicação entre unidades administrativas de um mesmo órgão, que podem estar hierarquicamente em mesmo nível ou em nível diferente.
Questão Anulada

Provas

Questão presente nas seguintes provas
2017250 Ano: 2020
Disciplina: Inglês (Língua Inglesa)
Banca: GUALIMP
Orgão: Pref. Conceição Macabu-RJ
Provas:
Look at the picture. Based on what you can see, choose the CORRECT answer.
enunciado 204655-1

“He _________ his hand if he touches that hot pan.”
Questão Anulada

Provas

Questão presente nas seguintes provas
2017249 Ano: 2020
Disciplina: Matemática
Banca: GUALIMP
Orgão: Pref. Conceição Macabu-RJ
A figura desenhada abaixo representa um local preparado para uma festa infantil.
enunciado 204640-1
Por determinação do Corpo de Bombeiros, o local pode abrigar no máximo 3 crianças por metro quadrado. Quantas crianças cabem, no máximo, nesse espaço:
Questão Anulada

Provas

Questão presente nas seguintes provas
2017248 Ano: 2020
Disciplina: Português
Banca: GUALIMP
Orgão: Pref. Conceição Macabu-RJ
Assinale a alternativa cujo emprego da crase está equivocado.
Questão Anulada

Provas

Questão presente nas seguintes provas
Leia a frase: “Quero que você seja feliz”. Marque a opção que indique o modo e o tempo verbais que está o verbo em destaque, respectivamente:
Questão Anulada

Provas

Questão presente nas seguintes provas