Foram encontradas 30 questões.
Durante um projeto de sustentabilidade, um
grupo de alunos instalou um reservatório cilíndrico para
armazenar água da chuva na escola. O reservatório tem
1 metro de diâmetro interno e 2 metros de altura. Após
uma forte chuva, o reservatório ficou completamente
cheio, e o grupo decidiu estimar quantos litros de água
estavam armazenados, qual o valor encontrado,
aproximadamente?
Dados: Use π = 3,14.
Dados: Use π = 3,14.
Provas
Questão presente nas seguintes provas
Durante uma atividade de design geométrico, a
estudante Paula utilizou papel quadriculado para criar
um padrão decorativo formado por quadrados
sobrepostos. Ela desenhou um quadrado AFGE, de lado
2 cm, e marcou o ponto D, que é o ponto médio do
lado EG. A partir desse ponto, construiu um novo
quadrado ABCD, como mostra a figura, formando um
pentágono não convexo chamado ABCHF, utilizado
como base para o logotipo de seu projeto artístico.
Com base na construção feita por Paula, determine a área do pentágono ABCHF.

Com base na construção feita por Paula, determine a área do pentágono ABCHF.

Provas
Questão presente nas seguintes provas
3933648
Ano: 2025
Disciplina: Matemática Financeira
Banca: FACET Concursos
Orgão: Pref. Congo-PB
Disciplina: Matemática Financeira
Banca: FACET Concursos
Orgão: Pref. Congo-PB
Provas:
Durante o primeiro ano de funcionamento de
sua loja de eletrônicos, Larissa precisou pegar dois
empréstimos para investir em equipamentos e estoque,
totalizando R$ 20.000,00. O primeiro empréstimo foi
feito com uma fintech, com juros simples de 8% ao ano,
e o segundo com um banco tradicional, com juros
simples de 5% ao ano. Após um ano, Larissa ainda não
havia quitado as dívidas, e o valor total devido passou
para R$ 21.405,00.
Quanto Larissa havia tomado emprestado de cada instituição?
Quanto Larissa havia tomado emprestado de cada instituição?
Provas
Questão presente nas seguintes provas
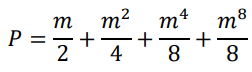
Considere a expressão:
onde m é um número inteiro.
Deseja-se saber para quantos valores inteiros de m = 2022, 2023, 2024 e 2025 o valor de P também é um número inteiro.
onde m é um número inteiro.
Deseja-se saber para quantos valores inteiros de m = 2022, 2023, 2024 e 2025 o valor de P também é um número inteiro.
Provas
Questão presente nas seguintes provas
Um agricultor deseja cercar uma área
retangular de 2024 m² utilizando estacas e arame, de
forma que os lados do terreno tenham medidas inteiras
em metros.
Como o custo do arame depende diretamente do perímetro da cerca, ele pretende encontrar o formato que minimize o comprimento total de arame necessário.
Nessas condições, qual é o menor perímetro possível para esse retângulo?
Como o custo do arame depende diretamente do perímetro da cerca, ele pretende encontrar o formato que minimize o comprimento total de arame necessário.
Nessas condições, qual é o menor perímetro possível para esse retângulo?
Provas
Questão presente nas seguintes provas
Em uma competição de raciocínio lógico, os
participantes deveriam encontrar um número inteiro M que atendesse à seguinte condição: tanto M + 1213 quanto M + 3773 são quadrados perfeitos.
Sabendo disso, determine qual é o algarismo das unidades de M, considerando M o maior inteiro possível que satisfaz essa condição.
Sabendo disso, determine qual é o algarismo das unidades de M, considerando M o maior inteiro possível que satisfaz essa condição.
Provas
Questão presente nas seguintes provas
O fatorial de um número natural n,
representado por n!, é o produto de todos os números
inteiros positivos de 1 até n.
Assim, por exemplo,
5! = 5 × 4 × 3 × 2 × 1 = 120.
Qual o menor valor de n para que n! seja um múltiplo de 2025?
Assim, por exemplo,
5! = 5 × 4 × 3 × 2 × 1 = 120.
Qual o menor valor de n para que n! seja um múltiplo de 2025?
Provas
Questão presente nas seguintes provas
Durante um teste de programação para
controle de sensores, um engenheiro precisa ajustar dois parâmetros inteiros, m e n, de forma que a leitura do sistema obedeça à relação:
Sabendo que m e n, são números inteiros, determine quantos pares ordenados (m, n) satisfazem a equação acima.
Sabendo que m e n, são números inteiros, determine quantos pares ordenados (m, n) satisfazem a equação acima.
Provas
Questão presente nas seguintes provas
Quatro quadrados de lados medindo 3 cm, 6
cm, 8 cm e 9 cm são dispostos em ordem crescente de
tamanho, de modo que suas bordas inferiores e
esquerdas coincidam, formando a figura abaixo.
As cores alternam-se entre branco e cinza, iniciando pelo quadrado menor branco, de forma que o segundo e o quarto quadrados sejam cinza.
Com base nessas informações, qual é a área total da região cinza visível na figura, em cm²?
(Considere que os quadrados estão sobrepostos conforme a descrição.)
As cores alternam-se entre branco e cinza, iniciando pelo quadrado menor branco, de forma que o segundo e o quarto quadrados sejam cinza.
Com base nessas informações, qual é a área total da região cinza visível na figura, em cm²?
(Considere que os quadrados estão sobrepostos conforme a descrição.)
Provas
Questão presente nas seguintes provas
Três amigos — Ana, Beatriz e Carlos —
decidiram dividir R$ 1.000,00 arrecadados em um
evento beneficente. O valor deve ser dividido
diretamente proporcional ao número de dias em que
cada um trabalhou (2, 1 e 10 dias, respectivamente) e
inversamente proporcional às suas despesas pessoais
durante o evento (R$ 20, R$ 30 e R$ 50,
respectivamente).
Quanto caberá a Carlos?
Quanto caberá a Carlos?
Provas
Questão presente nas seguintes provas
Cadernos
Caderno Container