Foram encontradas 40 questões.
Analise a lógica estruturada apresentada a seguir, considerando que C1, C2, K e CONT são valores inteiros e que N = 3.

A alternativa que indica o que é mostrado ao usuário como resultado é:
Provas
Uma carga de 15 Kg é fixa a um cabo inextensível que é preso a um tambor uniforme de massa 40 kg e diâmetro, 600 mm. No instante mostrado na figura, a carga está descendo a uma velocidade de 9 m/s. Qual é o intervalo que contém valor do torque frenante, T, necessário para que a carga pare após descer 3 m? Considere a aceleração da gravidade g = 9,81 m/s2, o momento de inércia do tambor I = ½ .(mtambor.rtambor 2) e despreze quaisquer perdas devido a qualquer atrito.

Provas
Em um galpão onde são executadas pinturas à pistola, um estudo estatístico
está sendo desenvolvido em relação à concentração de tolueno. As amostras da
concentração desta substância foram:
A variância da amostra acima é de, aproximadamente:
Provas
Deseja-se girar uma barra homogênea simétrica de comprimento L e massa m. Para uma certa condição de uso (velocidade de rotação e aceleração angular), calculou-se que seria necessária uma potência P1, se o motor for acoplado no centro de massa, CG, dessa barra (configuração a). Qual seria a nova potência necessária P2, para as mesmas condições de uso, caso o motor fosse acoplado em uma das extremidades da barra, a uma distância L/2 do CG da barra (configuração b)?

Provas
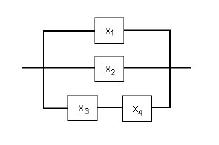
Uma das maneiras encontradas para aumentar a confiabilidade de um sistema é o emprego de peças / sub-sistemas que atuam em um arranjo em paralelo (redundância em standby). Para o sistema mecânico representado abaixo, sendo p a confiabilidade de cada componente e sendo todos os componentes idênticos e independentes, a expressão que representa a confiabilidade total do sistema (Rs) é:

Provas
Corrosão é a deterioração e perda de um material devido a um ataque químico. As condições que favorecem a corrosão envolvem tanto alterações químicas quanto eletrônicas e sempre estão presentes no dia-a-dia, tornando-a um grande problema em qualquer sistema. Um tipo específico de corrosão é a intergranular, ou seja, quando a corrosão ocorre nos contornos de grãos em aços. Sabe-se que existem vários métodos para se inibir esse tipo de corrosão, entre eles, pode-se citar:
Provas
Analise a figura abaixo:
Todas as afirmativas estão corretas, EXCETO:
Provas
Quanto aos processos envolvidos em um ciclo de motor de combustão interna quatro tempos, pode-se afirmar que:
Provas
Com relação aos motores de combustão interna utilizados nos veículos, pode-se afirmar que:
Provas
Um motor de combustão interna é refrigerado por um fluido com calor especifico a pressão constante de 4,00 kJ/kg.K. O motor desenvolve 60 kW de potência útil e 30% de eficiência térmica, e a potência despendida para os gases de descarga e forças de atrito interna são de 90 kW. Sendo de 5°C a diferença de temperatura entre o gás do motor e o fluido refrigerante, pode-se afirmar que a vazão da bomba de arrefecimento (m') é de:
Provas
Caderno Container