Foram encontradas 60 questões.
A solução da equação
complexa |z| − z − 1 − 4i = 0 é:
Provas
Questão presente nas seguintes provas
Os valores de y para
que o quadrilátero PQRS de vértices P(5, 0),
Q(2, 2), S(2, −2) e R(−2, y) possua, pelo menos,
um par de lados paralelos
Provas
Questão presente nas seguintes provas
Aumentando 20% nas
bases e diminuindo 30% na altura de um trapézio
de área A1, obtemos um novo trapézio de área A2.
Qual é a razão A2 / A1?
Provas
Questão presente nas seguintes provas
Seja M uma matriz
quadrada de ordem n com entradas reais. Uma raiz
quadrada real de M (denotada por √M) é qualquer matriz N de ordem n com entradas reais tal
que N2 = M. Com respeito a equação X =
√D,
onde D é uma matriz diagonal de ordem 2 com entradas reais, assinale a alternativa verdadeira.
Provas
Questão presente nas seguintes provas
A soma das soluções
da equação binomial
é
éProvas
Questão presente nas seguintes provas
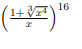
O coeficiente do
termo independente de x > 0 em
é
éProvas
Questão presente nas seguintes provas
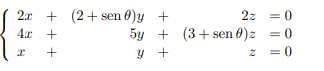
Considere o sistema
linear abaixo nas variáveis x, y e z
onde θ ∈ (0, π). Para um certo θ fixado, o sistema
abaixo é possível e indeterminado. Neste caso, o
conjunto solução é
Provas
Questão presente nas seguintes provas
Seja ∆ um triângulo
com vértices R, A e B. Suponha que ∆ é retângulo
em R, que a medida do cateto
é 3 cm e da hipotenusa
é 5 cm. Seja RA'DB' um retângulo
inscrito nesse triângulo tal que os pontos A' , B' pertençam, respectivamente, aos catetos
,
e o
ponto D pertence a hipotenusa
. A área máxima
desse retângulo é:

é 3 cm e da hipotenusa
é 5 cm. Seja RA'DB' um retângulo
inscrito nesse triângulo tal que os pontos A' , B' pertençam, respectivamente, aos catetos
,
e o
ponto D pertence a hipotenusa
. A área máxima
desse retângulo é: 
Provas
Questão presente nas seguintes provas
O conjunto solução da
equação complexa z3 + 8i = 0 é
Provas
Questão presente nas seguintes provas
Sejam p e q números
primos positivos. Racionalizando a expressão
obtemos:
obtemos:Provas
Questão presente nas seguintes provas
Cadernos
Caderno Container