Foram encontradas 60 questões.
e as afirmações: (i)
(ii)
(iii) Existem 9 funções f : C → B distintas e injetivas;
(iv) Se g : A → B é sobrejetiva, então a cardinalidade do conjunto g−1
(1) ∪ g−1
(2) é 2. Assinale a alternativa correta:
Provas
Provas
Associe a 2ª coluna de acordo com a 1ª.
1. Abertura para experiências
2. Conscienciosidade
3. Extroversão
4. Neuroticismo
5. Agradabilidade
( ) Autodisciplina, preferência pelo comportamento planejado ao invés do espontâneo.
( ) Preocupação com a harmonia social, inclinação a tolerância e empatia.
( ) Predisposição a emoções positivas, envolvimento com o mundo exterior, preferência pelas interações sociais.
( ) Propensão a instabilidade emocional, vulnerabilidade ao stress.
( ) Interesse por novas vivências emocionais e cognitivas, tendência a curiosidade, criatividade e imaginação.
Assinale a alternativa que apresenta a sequência CORRETA, de cima para baixo.
Provas
A Obra "Os Sertões"narra um dos acontecimentos mais violentos que se insurgiu contra uma comunidade que acolhia os sertanejos e resgatava-os das suas vidas miseráveis. Acusada de ser um movimento "político", incomodando os latifundiários, a comunidade foi dizimada pelo exército em 1897 com uma sangrenta "guerra". A luta do sertanejo por um pedaço de chão para viver e trabalhar torna-se uma ameaça para o poder econômico e político da época, poder este, que submete homens, mulheres e crianças a condições de vida miseráveis, pois são oprimidos pela "seca"e pela violência do Estado.
Esta Obra foi escrita por:
Provas

Provas
O Poeta da Roça
Sou fio das mata, cantô da mão grossa Trabaio na roça, de inverno e de estio A minha chupana é tapada de barro Só fumo cigarro de paia de mio
Sou poeta das brenha, não faço o papé De argum menestré, ou errante cantô Que veve vagando, com sua viola Cantando, pachola, à percura de amô
Não tenho sabença, pois nunca estudei Apenas eu seio o meu nome assiná Meu pai, coitadinho! vivia sem cobre E o fio do pobre não pode estudá
Meu verso rastero, singelo e sem graça, Não entra na praça, no rico salão. Meu verso só entra no campo e na roça, Nas pobre paioça, da serra ao sertão. (Fonte: Trecho de Patativa do Assaré. Petrópolis: Vozes, 1978. p. 20)
Provas
I) Pedro é um estudante: Verdadeiro II) Simão não é um corredor: Falso III) Márcio é um pintor: Falso IV) Cícero não sabe nadar: Verdadeiro
Assinale a alternativa que apresenta uma proposição composta verdadeira:
Provas
Provas
Atribua o valor lógico verdadeiro (V) ou falso (F) às proposições abaixo:
I) 7 é divisível por 49 ou 3 > 9
II) Se Fortaleza é a capital da Bahia então 2 + 2 = 4
III) (−3)2 = 32 se, e somente se, 4.7 + 1 = 29
IV) 3−2 = 6 e 7.9 = 63
V) Se 8 = 23 então o ser humano é imortal.
Agora, a sequência correta (de I a V, nessa ordem) é:
Provas
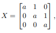
com a ∈ R e a ≠ 0, é correto afirmar:Provas
Caderno Container