Magna Concursos

Foram encontradas 150 questões.

3275542 Ano: 2024
Disciplina: Matemática
Banca: FACET Concursos
Orgão: Pref. Mamanguape-PB
Provas:

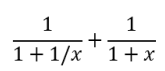
Qual o valor da soma abaixo?

Enunciado 3611500-1

 

Provas

Questão presente nas seguintes provas
3275541 Ano: 2024
Disciplina: Matemática
Banca: FACET Concursos
Orgão: Pref. Mamanguape-PB
Provas:
Qual é o algarismo das unidades do número encontrado ao multiplicarmos todos os números naturais ímpares de 1 até o 99? Isto é, qual o algarismo das unidades no resultado da multiplicação


1 × 3 × 5 × 7 … × 95 × 97 × 99?
 

Provas

Questão presente nas seguintes provas
3275540 Ano: 2024
Disciplina: Matemática
Banca: FACET Concursos
Orgão: Pref. Mamanguape-PB
Provas:
Em uma loja de doces, 40% dos doces são feitos com chocolate. Desses, 70% são feitos com chocolate amargo e os outros 30% com chocolate branco. Sabendo que temos na loja 21 doces feitos com chocolate amargo, quantos doces temos nessa loja?
 

Provas

Questão presente nas seguintes provas
3275539 Ano: 2024
Disciplina: Português
Banca: FACET Concursos
Orgão: Pref. Mamanguape-PB
Na frase a seguir : "A luta a favor dos direitos das mulheres ainda é uma realidade no século XXI" , identifique qual é o termo que indica um implícito textual:
 

Provas

Questão presente nas seguintes provas
3275538 Ano: 2024
Disciplina: Português
Banca: FACET Concursos
Orgão: Pref. Mamanguape-PB
Assinale a alternativa incorreta:
 

Provas

Questão presente nas seguintes provas
3275537 Ano: 2024
Disciplina: Português
Banca: FACET Concursos
Orgão: Pref. Mamanguape-PB
Identifique a alternativa que contém uma oração coordenada assindética:
 

Provas

Questão presente nas seguintes provas
3275536 Ano: 2024
Disciplina: Português
Banca: FACET Concursos
Orgão: Pref. Mamanguape-PB
Todas as opções abaixo são exemplos de variação linguística, exceto:
 

Provas

Questão presente nas seguintes provas
3275535 Ano: 2024
Disciplina: Português
Banca: FACET Concursos
Orgão: Pref. Mamanguape-PB
Assinale a alternativa que contém um par de palavras parônimas:
 

Provas

Questão presente nas seguintes provas
3275534 Ano: 2024
Disciplina: Português
Banca: FACET Concursos
Orgão: Pref. Mamanguape-PB

Assinale a alternativa que contém o vocativo da frase:

Bruno, venha aqui agora!

 

Provas

Questão presente nas seguintes provas
3275533 Ano: 2024
Disciplina: Português
Banca: FACET Concursos
Orgão: Pref. Mamanguape-PB

Identifique o aposto na frase:

Luiza, estudante de letras, vai viajar para Bélgica.

 

Provas

Questão presente nas seguintes provas