Foram encontradas 40 questões.
3056160
Ano: 2024
Disciplina: TI - Organização e Arquitetura dos Computadores
Banca: FUNDEP
Orgão: Pref. Curvelo-MG
Disciplina: TI - Organização e Arquitetura dos Computadores
Banca: FUNDEP
Orgão: Pref. Curvelo-MG
Provas:
Qual é o tipo de arquitetura para processamento em paralelo
em que a mesma instrução é aplicada a muitos fluxos de
dados, assim como em um processador de vetor?
Provas
Questão presente nas seguintes provas
3056159
Ano: 2024
Disciplina: TI - Desenvolvimento de Sistemas
Banca: FUNDEP
Orgão: Pref. Curvelo-MG
Disciplina: TI - Desenvolvimento de Sistemas
Banca: FUNDEP
Orgão: Pref. Curvelo-MG
Provas:
- Paradigmas de ProgramaçãoOrientação a ObjetosAnálise e Projeto Orientado a Objetos
- Paradigmas de ProgramaçãoOrientação a ObjetosOrientação a Objetos: Polimorfismo
Assinale o recurso de programação orientada a objetos
em que o compilador irá selecionar as funcionalidades que
um programa irá utilizar de forma dinâmica, durante sua
execução.
Provas
Questão presente nas seguintes provas
3056158
Ano: 2024
Disciplina: TI - Desenvolvimento de Sistemas
Banca: FUNDEP
Orgão: Pref. Curvelo-MG
Disciplina: TI - Desenvolvimento de Sistemas
Banca: FUNDEP
Orgão: Pref. Curvelo-MG
Provas:
Qual é o método de ordenação que percorre a lista de
elementos, comparando os adjacentes (pares consecutivos)
e trocando-os de posição, caso não estejam em ordem?
Provas
Questão presente nas seguintes provas
3056079
Ano: 2024
Disciplina: TI - Redes de Computadores
Banca: FUNDEP
Orgão: Pref. Curvelo-MG
Disciplina: TI - Redes de Computadores
Banca: FUNDEP
Orgão: Pref. Curvelo-MG
Provas:
Para que uma máquina seja encontrada em uma rede
local de computadores, de forma que possa ser acessada
remotamente, é necessário que ela possua, dentre outros
recursos, um endereço IP.
Identifique qual é o endereço IP pertencente a uma classe B.
Identifique qual é o endereço IP pertencente a uma classe B.
Provas
Questão presente nas seguintes provas
3056078
Ano: 2024
Disciplina: TI - Redes de Computadores
Banca: FUNDEP
Orgão: Pref. Curvelo-MG
Disciplina: TI - Redes de Computadores
Banca: FUNDEP
Orgão: Pref. Curvelo-MG
Provas:
Protocolos são fundamentais no desenvolvimento de
sistemas, pois permitem que os recursos em um ambiente
computacional sejam disponibilizados ou acessados.
Qual protocolo atua na camada de Aplicação do TCP/IP?
Qual protocolo atua na camada de Aplicação do TCP/IP?
Provas
Questão presente nas seguintes provas
3056077
Ano: 2024
Disciplina: TI - Redes de Computadores
Banca: FUNDEP
Orgão: Pref. Curvelo-MG
Disciplina: TI - Redes de Computadores
Banca: FUNDEP
Orgão: Pref. Curvelo-MG
Provas:
- Gerenciamento de RedesSNMP: Simple Network Management Protocol
- Protocolos e ServiçosInternet e EmailSMTP: Simple Mail Transfer Protocol
São protocolos que devem ser utilizados essencialmente
para envio de e-mail e gerenciamento de uma rede,
respectivamente:
Provas
Questão presente nas seguintes provas
3056021
Ano: 2024
Disciplina: TI - Sistemas Operacionais
Banca: FUNDEP
Orgão: Pref. Curvelo-MG
Disciplina: TI - Sistemas Operacionais
Banca: FUNDEP
Orgão: Pref. Curvelo-MG
Provas:
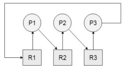
Analise a figura a seguir.

Como é denominado o estado geral entre processos de um sistema operacional, em que dois ou mais processos envolvidos aguardam por dois ou mais recursos, formando um grafo cíclico, como apresentado na imagem?
Provas
Questão presente nas seguintes provas
3056020
Ano: 2024
Disciplina: TI - Sistemas Operacionais
Banca: FUNDEP
Orgão: Pref. Curvelo-MG
Disciplina: TI - Sistemas Operacionais
Banca: FUNDEP
Orgão: Pref. Curvelo-MG
Provas:
- Gerenciamento de ProcessosCiclo de Vida de Processos
- Gerenciamento de ProcessosEstados dos Processos
Em um sistema operacional existe um recurso chamado
pseudoparalelismo, que é a implementação de um algoritmo
que permite que os processos sejam executados, como se
todos estivessem em execução ao mesmo tempo, apesar
de não estarem.
Qual transição de processo não é permitida pelo sistema operacional?
Qual transição de processo não é permitida pelo sistema operacional?
Provas
Questão presente nas seguintes provas
Para promover a disponibilidade dos sistemas, é fundamental
manter os dados em segurança, utilizando métodos e
técnicas já consolidadas no mercado.
Qual tipo de RAID permite o espelhamento dos dados entre diversos dispositivos de armazenamento?
Qual tipo de RAID permite o espelhamento dos dados entre diversos dispositivos de armazenamento?
Provas
Questão presente nas seguintes provas
Assinale a alternativa que não apresentaria erro durante
a execução de um comando em SQL, levando-se em
consideração a existência de uma tabela denominada
disciplina, nela contendo um campo denominado nome.
Provas
Questão presente nas seguintes provas
Cadernos
Caderno Container