Magna Concursos

Foram encontradas 920 questões.

311472 Ano: 2010
Disciplina: Atualidades e Conhecimentos Gerais
Banca: VUNESP
Orgão: Pref. Diadema-SP
A Polícia Federal (PF) prendeu nesta sexta-feira (10.09.2010) o governador do estado durante a Operação Mãos Limpas. O governador é suspeito de participar de uma organização criminosa composta por servidores públicos, políticos e empresários que supostamente praticavam desvio de recursos públicos do estado e da União.
(http://gl.globo.com. Adaptado)
O estado onde ocorreu o fato é
 

Provas

Questão presente nas seguintes provas
311471 Ano: 2010
Disciplina: Engenharia Civil
Banca: VUNESP
Orgão: Pref. Diadema-SP
Provas:
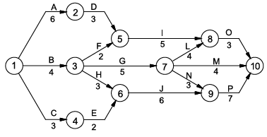
Considere o cronograma de rede da figura.
Enunciado 311471-1
As letras representam as atividades, cuja duração, em dias, está indicada abaixo de cada uma delas. O tempo previsto pelo caminho crítico, em dias, é
 

Provas

Questão presente nas seguintes provas
311467 Ano: 2010
Disciplina: Informática
Banca: VUNESP
Orgão: Pref. Diadema-SP
Provas:
Analise as seguintes afirmações relacionadas ao serviço de correio eletrônico ou e-mail da Internet:
I. A sequência de caracteres maria#dominio.com.br tem uma estrutura compatível com o endereço de um usuário registrado no Brasil.
II. O termo Anexo diz respeito ao arquivo que o usuário do serviço de e-mail pode agregar a mensagem e enviar ao destinatário desejado.
III. Cliente de e-mail é o nome do programa que deve ser instalado no computador do usuário para que ele possa enviar e receber mensagens.
É correto apenas o que se afirma em
 

Provas

Questão presente nas seguintes provas
311330 Ano: 2010
Disciplina: TI - Sistemas Operacionais
Banca: VUNESP
Orgão: Pref. Diadema-SP
Em se tratando do servidor de e-mail Postfix, o principal arquivo de configuração, main.cf, possui um parâmetro de verificação de endereço para evitar problemas com sondagens de endereço, que é o parâmetro
 

Provas

Questão presente nas seguintes provas
310833 Ano: 2010
Disciplina: Sociologia
Banca: VUNESP
Orgão: Pref. Diadema-SP
Provas:
Diversas pesquisas realizadas no Brasil e em outros países do mundo têm um caráter de exploração, descrição e explicação de um dado fenômeno ou processo social. A implementação de políticas públicas também teve esse caráter no que tange ao uso destas pesquisas científicas, sobretudo aquelas que associaram população e saúde. Na história da higiene pública brasileira, encontramos o lema “Prevenir antes de curar”. Esse lema refere-se ao trabalho
 

Provas

Questão presente nas seguintes provas

Analise o seguinte fluxograma, supondo que os valores dos vetores tab1[i] e tab2[i], com i variando de 0 a 9, são:

tab1: 0, 2, 7, 3, 2, 1, 9, 1, 3, 5

tab2: 1, 1, 1, 0, 2, 0, 1, 1, 2, 0

Enunciado 310820-1

Após a execução do algoritmo, os valores que serão enviados ao dispositivo de saída são, na sequência:

 

Provas

Questão presente nas seguintes provas
Durante a fase de projeto de um sistema, definiu-se que ele irá trabalhar no modelo de 3 camadas. Nesse modelo, em relação ao acesso a dados, as telas de cadastro
 

Provas

Questão presente nas seguintes provas
310810 Ano: 2010
Disciplina: TI - Banco de Dados
Banca: VUNESP
Orgão: Pref. Diadema-SP
Considere a seguinte representação de uma tabela de um banco de dados relacional.
Produto (ID, Nome, Valor)
O comando da álgebra relacional para efetuar a seleção dos atributos dessa tabela, para o caso em que o atributo Valor seja maior do que 20, é:
 

Provas

Questão presente nas seguintes provas
Segundo Teixeira Coelho, a política cultural é entendida habitualmente como “(...) programa de intervenções realizadas pelo Estado, instituições civis, entidades privadas ou grupos comunitários com o objetivo de satisfazer as necessidades culturais da população e promover o desenvolvimento de suas representações simbólicas. Sob este entendimento imediato, a política cultural apresenta-se assim como o conjunto de iniciativas, tomadas por esses agentes, visando promover a produção, distribuição e o uso da cultura, a preservação e divulgação do patrimônio histórico e o ordenamento do aparelho burocrático por elas responsável.”
(José Teixeira Coelho, Dicionário crítico de política cultural: cultura e imaginário. São Paulo: Iluminuras/Fapesp, 1997)
De acordo com essa definição, uma política cultural
 

Provas

Questão presente nas seguintes provas
310786 Ano: 2010
Disciplina: Engenharia Civil
Banca: VUNESP
Orgão: Pref. Diadema-SP
Provas:
A velocidade medida em m/s da água que escoa em um duto de 25 mm de diâmetro, com a vazão de 2 litros/s, será de, aproximadamente,
 

Provas

Questão presente nas seguintes provas