Foram encontradas 50 questões.
Disciplina: TI - Redes de Computadores
Banca: FUNDATEC
Orgão: Pref. Foz Iguaçu-PR
Em uma rede de computadores, a latência pode ser definida como o tempo que leva para uma mensagem chegar ao seu destino a partir do seu envio. Compõe a latência, o que consta nas alternativas abaixo, EXCETO:
Provas
Disciplina: TI - Redes de Computadores
Banca: FUNDATEC
Orgão: Pref. Foz Iguaçu-PR
Assinale a alternativa que contém um endereço IPv4 público válido em notação decimal pontuada.
Provas
Disciplina: TI - Sistemas Operacionais
Banca: FUNDATEC
Orgão: Pref. Foz Iguaçu-PR
- VirtualizaçãoParavirtualização
- VirtualizaçãoTipos de Hypervisor
- VirtualizaçãoVirtualização Total (Completa)
A virtualização total e a paravirtualização são duas técnicas de virtualização. Nesse contexto, relacione a Coluna 1 à Coluna 2, associando essas técnicas às suas características.
Coluna 1
1. Virtualização total.
2. Paravirtualização.
Coluna 2
( ) Provê aos sistemas hóspedes acesso aos recursos de hardware a partir dos drivers instalados no próprio hipervisor.
( ) O sistema operacional hóspede não precisa ser adaptado.
( ) Apresenta um custo de processamento alto.
( ) Pode apresentar dificuldade para conseguir utilizar todo o potencial de um recurso de hardware real.
A ordem correta de preenchimento dos parênteses, de cima para baixo, é:
Provas
Disciplina: TI - Sistemas Operacionais
Banca: FUNDATEC
Orgão: Pref. Foz Iguaçu-PR
As máquinas virtuais de sistema podem ser implementadas basicamente de duas formas. Qual é o nome da implementação que executa diretamente sobre o hardware de uma máquina real e faz com que as máquinas virtuais sejam executadas sobre ela?
Provas
Disciplina: TI - Sistemas Operacionais
Banca: FUNDATEC
Orgão: Pref. Foz Iguaçu-PR
O sistema de arquivos NTFS possui, na sua organização, três estruturas básicas. A primeira é o Setor, que representa a menor unidade de alocação física do disco. A partir do Setor, podem ser compostas as outras duas estruturas, que são, em ordem de composição, respectivamente:
Provas
Disciplina: TI - Sistemas Operacionais
Banca: FUNDATEC
Orgão: Pref. Foz Iguaçu-PR
- LinuxArmazenamento no Linuxinodes
- Sistemas de ArquivosTipos de Sistemas de ArquivosEXT2
- Sistemas de ArquivosTipos de Sistemas de ArquivosEXT3
- Sistemas de ArquivosTipos de Sistemas de ArquivosEXT4
Nos sistemas de arquivos EXT2, EXT3 e EXT4, existe uma estrutura de dados, de tamanho fixo, que identifica cada arquivo unicamente e que descreve seus blocos e outras informações importantes. Essa estrutura é conhecida como:
Provas
Disciplina: TI - Organização e Arquitetura dos Computadores
Banca: FUNDATEC
Orgão: Pref. Foz Iguaçu-PR
Striping é uma das técnicas utilizadas em RAIDs. Determinado nível de RAID emprega exclusivamente essa técnica de forma que ele consegue utilizar a capacidade integral de armazenamento disponível para os dados. Assim, são atingidas altas taxas de leitura e escrita, embora não se obtenha alta disponibilidade. Esse nível é conhecido como:
Provas
Disciplina: TI - Desenvolvimento de Sistemas
Banca: FUNDATEC
Orgão: Pref. Foz Iguaçu-PR
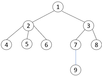
Analise a árvore abaixo:

O grau do nodo 1 e o grau da árvore são, respectivamente:
Provas
Disciplina: TI - Desenvolvimento de Sistemas
Banca: FUNDATEC
Orgão: Pref. Foz Iguaçu-PR
- Fundamentos de ProgramaçãoEstruturas de DadosEstrutura de Dados: Fila
- Fundamentos de ProgramaçãoEstruturas de DadosEstrutura de Dados: Lista
- Fundamentos de ProgramaçãoEstruturas de DadosEstrutura de Dados: Pilha
Em relação às estruturas de dados, analise as assertivas abaixo, assinalando V, se verdadeiras, ou F, se falsas.
( ) Pilhas e filas são tipos especiais de listas lineares.
( ) Pilhas podem possuir uma estrutura não linear.
( ) Filas devem retirar primeiro o nodo que foi inserido primeiro.
( ) Uma pilha dupla também é conhecida como "deque".
A ordem correta de preenchimento dos parênteses, de cima para baixo, é:
Provas
Disciplina: TI - Desenvolvimento de Sistemas
Banca: FUNDATEC
Orgão: Pref. Foz Iguaçu-PR
- Fundamentos de ProgramaçãoEstruturas de DadosEstrutura de Dados: Array
- Fundamentos de ProgramaçãoEstruturas de DadosEstrutura de Dados: ListaLista Encadeada
Qual alternativa NÃO descreve uma forma de implementação de listas lineares?
Provas
Caderno Container