Foram encontradas 40 questões.
A Lei Orgânica do Município de Giruá estabelece que são conferidos aos servidores
ocupantes de cargo público municipal determinados direitos assegurados aos trabalhadores urbanos
e rurais previstos no Art. 7º da Constituição Federal vigente. Entre esses direitos estão:
1. Repouso semanal remunerado, preferencialmente aos domingos.
2. Proteção do mercado de trabalho da mulher, mediante incentivos específicos, nos termos da lei.
3. Proibição de diferença de salários, de exercício de funções e de critério de admissão por motivo de sexo, idade, cor ou estado civil.
4. Aviso prévio proporcional ao tempo de serviço, sendo no mínimo de trinta dias, nos termos da lei.
O resultado da somatória dos números correspondentes às afirmações corretas é:
1. Repouso semanal remunerado, preferencialmente aos domingos.
2. Proteção do mercado de trabalho da mulher, mediante incentivos específicos, nos termos da lei.
3. Proibição de diferença de salários, de exercício de funções e de critério de admissão por motivo de sexo, idade, cor ou estado civil.
4. Aviso prévio proporcional ao tempo de serviço, sendo no mínimo de trinta dias, nos termos da lei.
O resultado da somatória dos números correspondentes às afirmações corretas é:
Provas
Questão presente nas seguintes provas
O Regime Jurídico dos Servidores Públicos do Município de Giruá dispõe que, salvo
por imposição legal, ou mandado judicial, nenhum desconto incidirá sobre a remuneração ou provento.
Segundo o §1º do Art. 68 do referido Regime, é permitida a consignação sobre o vencimento e as
parcelas permanentes da remuneração do servidor, sendo que o valor total consignado não poderá
ser superior a ______ dos vencimentos mensais do servidor.
Assinale a alternativa que preenche corretamente a lacuna do trecho acima.
Assinale a alternativa que preenche corretamente a lacuna do trecho acima.
Provas
Questão presente nas seguintes provas
Eduardo, servidor da Prefeitura Municipal de Giruá há três anos, durante o período
aquisitivo de férias de fevereiro/2023 a janeiro/2024, teve sete faltas ao serviço sem justificativa.
Sendo assim, com base no Regime Jurídico dos Servidores Públicos do Município de Giruá, Eduardo
terá direito a férias desse período aquisitivo de quantos dias corridos?
Provas
Questão presente nas seguintes provas
O Art. 21 do Regime Jurídico dos Servidores Públicos do Município de Giruá determina
que, enquanto não adquirir a estabilidade, poderá o servidor ser exonerado no interesse do serviço
público, nos casos de insubordinação ou má conduta, entre outros. Segundo o referido regime,
ocorrendo hipótese prevista no referido Artigo, o chefe imediato do servidor representará a autoridade
competente, a qual deverá dar vista ao servidor, a fim de que o mesmo possa apresentar sua defesa,
no prazo de ______ dias. Decorrido o prazo da defesa, apresentada ou não, e atendidas as diligências
eventualmente requeridas e determinadas, a autoridade competente decidirá, no prazo de ______
dias, em ato motivado pela exoneração do servidor, ou sua manutenção no cargo, continuando, neste
caso, sob observação.
Assinale a alternativa que preenche, correta e respectivamente, as lacunas do trecho acima.
Assinale a alternativa que preenche, correta e respectivamente, as lacunas do trecho acima.
Provas
Questão presente nas seguintes provas
O sistema de irrigação de um campo de futebol é composto por uma certa quantidade
de pivô central, que é um braço metálico preso em um circuito circular pelo qual o braço gira lançando
água. O campo tem as seguintes medidas: 60 metros de comprimento e 45 metros de largura. O raio
atingido pela água lançada pelo pivô central quando ativado para irrigação é de 300 cm, deixando a
área coberta pelo raio totalmente irrigada. Qual a quantidade de pivôs necessária para fazer a irrigação
completa do campo? Utilize π = 3,14.
Provas
Questão presente nas seguintes provas
Analise as seguintes assertivas e assinale V, se verdadeiras, ou F, se falsas.
( ) A proposição composta (p ^ q) → (p v q) é uma tautologia.
( ) A proposição composta (p ^ q) ↔ (~p v ~q) é uma contingência.
( ) A proposição composta (p ^ q) → (p ^ q) é uma contingência.
A ordem correta de preenchimento dos pais, de cima para baixo, é:
( ) A proposição composta (p ^ q) → (p v q) é uma tautologia.
( ) A proposição composta (p ^ q) ↔ (~p v ~q) é uma contingência.
( ) A proposição composta (p ^ q) → (p ^ q) é uma contingência.
A ordem correta de preenchimento dos pais, de cima para baixo, é:
Provas
Questão presente nas seguintes provas
Com uma equipe de 8 eletricistas, a instalação elétrica de uma residência demorou
3 dias para ser totalmente finalizada. Caso sofra uma redução de 2 eletricistas, quanto tempo a equipe
levará para realizar o mesmo serviço?
Provas
Questão presente nas seguintes provas
Um capital de R$ 18.000,00 foi aplicado sob regime de juros simples durante
6 meses e produziu juros de R$ 2.160,00. Determine a taxa de juros mensal que foi utilizada na
aplicação.
Provas
Questão presente nas seguintes provas
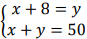
Uma prova de concurso foi elaborada com um único exercício de questões de
verdadeiro ou falso. São 50 afirmativas para os concorrentes analisarem. Sabemos que a quantidade
de afirmativas verdadeiras supera as falsas em 8 questões. Chamando de “x” as afirmativas
verdadeiras e de “y” as falsas, assinale a alternativa que indica corretamente o sistema associado a
esta situação.
Provas
Questão presente nas seguintes provas
“As pessoas vão derreter feito lesma na calçada”

(Disponível em: www.apublica.org/2024/03/as-pessoas-vao-derreter-feito-lesma-na-calcada/ – texto adaptado
especialmente para esta prova).
• Qual é a classificação do sujeito?
• Qual é a classificação do predicado?
• Qual é a predicação verbal do verbo “causaremos”?
Assinale a alternativa que apresenta, correta e respectivamente, as respostas para as perguntas acima.
Provas
Questão presente nas seguintes provas
Cadernos
Caderno Container