Foram encontradas 69 questões.
3594280
Ano: 2025
Disciplina: Noções de Primeiros Socorros
Banca: OBJETIVA
Orgão: Pref. Gramado-RS
Disciplina: Noções de Primeiros Socorros
Banca: OBJETIVA
Orgão: Pref. Gramado-RS
Provas:
O soro antiofídico é essencial para a saúde pública, pois
é um medicamento vital para:
Provas
Questão presente nas seguintes provas
A tabela abaixo apresenta as notas obtidas por um grupo
de alunos em 5 disciplinas: Matemática, Geografia, História,
Ciências e Português. Considerando os dados da tabela,
assinalar a alternativa CORRETA.


Provas
Questão presente nas seguintes provas
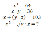
Resolver as operações abaixo na sequência e assinalar a alternativa que corresponde ao resultado da última operação.

Provas
Questão presente nas seguintes provas
Pedro contraiu um empréstimo de R$ 7.200,00, com
uma taxa de juros simples mensal de 5%, e pretende quitar
sua dívida em 10 meses. Sabendo disso, assinalar a
alternativa que corresponde ao montante que Pedro deverá
pagar.
Provas
Questão presente nas seguintes provas
Dadas as funções f(x) = −x² + 2x − 12 e g(x) = 4x – 15,
assinalar a alternativa que corresponde à f(g(6)).
Provas
Questão presente nas seguintes provas
Em uma progressão aritmética, o quarto termo é igual a
13, e o nono é igual a 28. Sabendo−se disso, assinalar a
alternativa que apresenta a soma dos dez primeiros termos
dessa progressão.
Provas
Questão presente nas seguintes provas
Uma equipe de fotografia vai selecionar quatro das sete
melhores fotos para uma exposição. Sabendo que a ordem
das fotos escolhidas não importa, de quantas maneiras
diferentes é possível fazer essa seleção?
Provas
Questão presente nas seguintes provas
Observar a figura.

Considerando que ABCD é um quadrado, assinalar a alternativa que corresponde à área da figura, sabendo−se que BC = 3cm.
(Considere π = 3,14)
Provas
Questão presente nas seguintes provas
O salário de um funcionário foi reajustado em 12%. Se,
após o aumento, o salário passou a ser R$ 5.600,00, qual era
o salário antes do reajuste?
Provas
Questão presente nas seguintes provas
Em relação ao uso de homônimos e parônimos, analisar
os itens.
I. As palavras “consertar” e “concertar” são parônimas.
II. As palavras “cumprimento” e “comprimento” são homônimas.
III. As palavras “denúncia” e “denuncia” são homônimas.
Está CORRETO o que se afirma:
I. As palavras “consertar” e “concertar” são parônimas.
II. As palavras “cumprimento” e “comprimento” são homônimas.
III. As palavras “denúncia” e “denuncia” são homônimas.
Está CORRETO o que se afirma:
Provas
Questão presente nas seguintes provas
Cadernos
Caderno Container