Foram encontradas 40 questões.
3829165
Ano: 2024
Disciplina: Matemática Financeira
Banca: FAFIPA
Orgão: Pref. Guarapuava-PR
Disciplina: Matemática Financeira
Banca: FAFIPA
Orgão: Pref. Guarapuava-PR
Provas:
Em uma empresa especializada na produção de chocolates, o CEO decidiu reduzir o tamanho de seu
chocolate em 10%, porém, mantendo o preço de venda como antes. Cada chocolate custa, ao vendedor,
R$ 4,60, porém, o vendedor precisará reajustar o valor ao consumidor visto que este perceberá que
estará levando para casa um chocolate menor do que antes. O vendedor possui, em estoque, 55
chocolates originais e, neste momento, adquiriu 100 chocolates no novo formato. Sabendo-se que
anteriormente seu lucro era de 20% e, afim de ser totalmente justo com seu cliente e repassar o
reajuste correto, seu lucro na venda desses 155 chocolates será um valor:
Provas
Questão presente nas seguintes provas
Considerando:
![]()
pode-se afirmar que:
Provas
Questão presente nas seguintes provas
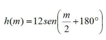
Um túnel será construído no interior de uma montanha. Para isso, serão necessários vários cálculos de
engenharia afim de não cometer-se nenhum erro. Feitos todos os cálculos, começar-se-á a obra,
utilizando-se o chamado "tatu", que é um maquinário enorme utilizado em perfurações. Esse tatu é
programado para seguir uma rota precisa em sua perfuração, tendo como base os estudos feitos
previamente. Em determinado momento, após perfurar 60 metros, o tatu ascende em sua trajetória,
passando a obedece-la segundo a função a seguir.
Sendo h a altura atingida pelo tatu em m metros de perfuração, sendo 0,5m medido em graus, dessa forma, após o tatu perfurar 540 metros de túnel, pode-se afirmar que ele estará a uma altura que corresponde a um valor:
Sendo h a altura atingida pelo tatu em m metros de perfuração, sendo 0,5m medido em graus, dessa forma, após o tatu perfurar 540 metros de túnel, pode-se afirmar que ele estará a uma altura que corresponde a um valor:
Provas
Questão presente nas seguintes provas
Às 19h00, em uma casa de jogos, há 90 pessoas. Neste momento, a probabilidade de uma mulher
ganhar é 1,25 vezes maior do que a de um homem ganhar. Caso 18 pessoas deixem o local às 20h00,
sendo, destas, duas mulheres, a probabilidade de uma mulher ganhar passará a ser o dobro das
chances de um homem ganhar. Assim sendo, podemos afirmar que o número de homens nesta casa às
19h45 é:
Provas
Questão presente nas seguintes provas
Rodolfo trabalha fabricando queijos de segunda a sábado, para isso, recolhe, todos os dias, 60 litros de
leite de vaca. Seu queijo tem a tradição de ser bastante concentrado e, utilizando 6 litros, ele fabrica 1,5
kg de queijo. Porém, para facilitar o acesso ao consumidor, ele reparte seu queijo em pedaços de 300 g
e embala esses pedacinhos em quintetos para vender. Cada embalagem custa R$ 40,00. Mediante a
todas essas informações, pode-se afirmar que Rodolfo arrecada, semanalmente, com a venda de
queijos, um valor:
Provas
Questão presente nas seguintes provas
Moradores de cidades com maior espaço verde têm melhor saúde mental
Achado é de pesquisa que mostrou que, quanto maior o contato com a natureza, menor a chance de
desenvolver transtornos mentais
Gabriela Maraccini, 23/02/2024 às 11:47
Morar em cidade grande com maiores espaços de área verde, como parques, praças públicas e jardins,
pode ser benéfico para a saúde mental. Um novo estudo mostrou que moradores de áreas urbanas que
são mais expostos a espaços verdes apresentam melhor bem-estar mental. O estudo foi publicado no
"International Journal of Environmental Research and Public Health" no início de fevereiro e mostrou
que, quanto maior a exposição a áreas verdes urbanas, menor é a necessidade de serviços de saúde
mental, como consultas com psiquiatras e tratamentos para transtornos mentais.
Para chegar a essa conclusão, os pesquisadores da Escola de Saúde Pública da Texas A&M University
usaram uma ferramenta chamada NatureScore, que usa vários conjuntos de dados relacionados a
poluição atmosférica, sonora e luminosa, presença de parques e copas de árvores para calcular a
quantidade e qualidade de elementos naturais para qualquer endereço conhecido nos Estados Unidos e
outros países do mundo.
O NatureScore avalia a qualidade da exposição à natureza de acordo com a seguinte pontuação:
deficiente: 0 a 19 pontos; leve: de 20 a 40 pontos; adequada: de 40 a 60 pontos; rica: de 60 a 80 pontos;
utópica: de 80 a 100 pontos.
"A associação entre a exposição à natureza e uma melhor saúde mental está bem estabelecida nos
Estados Unidos e em outros lugares, mas a maioria dos estudos utiliza apenas uma ou duas medições
desta exposição", disse Jay Maddock, um dos autores do estudo em comunicado à imprensa. "Nosso
estudo foi o primeiro a usar o NatureScore, que fornece dados mais complexos, para estudar a
correlação entre a exposição à natureza urbana e a saúde mental"
Os investigadores também usaram dados sobre consultas de saúde mental contidos nos arquivos de
dados públicos de pacientes ambulatoriais do Texas Hospital, de 2014 a 2019. Neles, havia informações
como idade, sexo, raça/etnia, escolarização, situação profissional e socioeconômica, diagnóstico e CEP
do paciente. Ainda assim, a identidade dos pacientes não foi divulgada. Foram selecionados um total de
61.391.400 consultas ambulatoriais de adultos em cidades do Texas para depressão, transtornos
bipolares, estresse e ansiedade. Além disso, a pesquisa incluiu dados de 1.169 endereços na área urbana
do Texas, cuja nota média do NatureScore era de 85,8 pontos. Metade dos CEPs tinha notas elevadas
(acima de 80 pontos) e cerca de 22% tinham notas abaixo de 40 pontos.
Resultados do estudo
De acordo com o estudo, quanto maior era a pontuação de um bairro no NatureScore, menor era a
tendência de os moradores fazerem consultas ambulatoriais devido à saúde mental. Segundo os resultados, as taxas de consultas médicas foram 50% menores em bairros com pontuação acima de 60
pontos, em comparação com bairros que possuem pontuação mais baixa. "Descobrimos que um
NatureScore acima de 40 – considerado adequado – parece ser o limite para uma boa saúde mental",
disse Maddock. "As pessoas nesses bairros têm uma probabilidade 51% menor de desenvolver
depressão e uma probabilidade 63% menor de desenvolver transtornos bipolares".
Para Omar M. Makram, principal autor do estudo, essas descobertas podem ter implicações
importantes para o planejamento urbano. "Aumentar os espaços verdes nas cidades poderia promover
o bem-estar e a saúde mental, o que é extremamente importante, dado que mais de 22% da população
adulta nos Estados Unidos sofre de um distúrbio de saúde mental", disse ele, em comunicado.
Provas
Questão presente nas seguintes provas
Moradores de cidades com maior espaço verde têm melhor saúde mental
Achado é de pesquisa que mostrou que, quanto maior o contato com a natureza, menor a chance de
desenvolver transtornos mentais
Gabriela Maraccini, 23/02/2024 às 11:47
Morar em cidade grande com maiores espaços de área verde, como parques, praças públicas e jardins,
pode ser benéfico para a saúde mental. Um novo estudo mostrou que moradores de áreas urbanas que
são mais expostos a espaços verdes apresentam melhor bem-estar mental. O estudo foi publicado no
"International Journal of Environmental Research and Public Health" no início de fevereiro e mostrou
que, quanto maior a exposição a áreas verdes urbanas, menor é a necessidade de serviços de saúde
mental, como consultas com psiquiatras e tratamentos para transtornos mentais.
Para chegar a essa conclusão, os pesquisadores da Escola de Saúde Pública da Texas A&M University
usaram uma ferramenta chamada NatureScore, que usa vários conjuntos de dados relacionados a
poluição atmosférica, sonora e luminosa, presença de parques e copas de árvores para calcular a
quantidade e qualidade de elementos naturais para qualquer endereço conhecido nos Estados Unidos e
outros países do mundo.
O NatureScore avalia a qualidade da exposição à natureza de acordo com a seguinte pontuação:
deficiente: 0 a 19 pontos; leve: de 20 a 40 pontos; adequada: de 40 a 60 pontos; rica: de 60 a 80 pontos;
utópica: de 80 a 100 pontos.
"A associação entre a exposição à natureza e uma melhor saúde mental está bem estabelecida nos
Estados Unidos e em outros lugares, mas a maioria dos estudos utiliza apenas uma ou duas medições
desta exposição", disse Jay Maddock, um dos autores do estudo em comunicado à imprensa. "Nosso
estudo foi o primeiro a usar o NatureScore, que fornece dados mais complexos, para estudar a
correlação entre a exposição à natureza urbana e a saúde mental"
Os investigadores também usaram dados sobre consultas de saúde mental contidos nos arquivos de
dados públicos de pacientes ambulatoriais do Texas Hospital, de 2014 a 2019. Neles, havia informações
como idade, sexo, raça/etnia, escolarização, situação profissional e socioeconômica, diagnóstico e CEP
do paciente. Ainda assim, a identidade dos pacientes não foi divulgada. Foram selecionados um total de
61.391.400 consultas ambulatoriais de adultos em cidades do Texas para depressão, transtornos
bipolares, estresse e ansiedade. Além disso, a pesquisa incluiu dados de 1.169 endereços na área urbana
do Texas, cuja nota média do NatureScore era de 85,8 pontos. Metade dos CEPs tinha notas elevadas
(acima de 80 pontos) e cerca de 22% tinham notas abaixo de 40 pontos.
Resultados do estudo
De acordo com o estudo, quanto maior era a pontuação de um bairro no NatureScore, menor era a
tendência de os moradores fazerem consultas ambulatoriais devido à saúde mental. Segundo os resultados, as taxas de consultas médicas foram 50% menores em bairros com pontuação acima de 60
pontos, em comparação com bairros que possuem pontuação mais baixa. "Descobrimos que um
NatureScore acima de 40 – considerado adequado – parece ser o limite para uma boa saúde mental",
disse Maddock. "As pessoas nesses bairros têm uma probabilidade 51% menor de desenvolver
depressão e uma probabilidade 63% menor de desenvolver transtornos bipolares".
Para Omar M. Makram, principal autor do estudo, essas descobertas podem ter implicações
importantes para o planejamento urbano. "Aumentar os espaços verdes nas cidades poderia promover
o bem-estar e a saúde mental, o que é extremamente importante, dado que mais de 22% da população
adulta nos Estados Unidos sofre de um distúrbio de saúde mental", disse ele, em comunicado.
Provas
Questão presente nas seguintes provas
Moradores de cidades com maior espaço verde têm melhor saúde mental
Achado é de pesquisa que mostrou que, quanto maior o contato com a natureza, menor a chance de
desenvolver transtornos mentais
Gabriela Maraccini, 23/02/2024 às 11:47
Morar em cidade grande com maiores espaços de área verde, como parques, praças públicas e jardins,
pode ser benéfico para a saúde mental. Um novo estudo mostrou que moradores de áreas urbanas que
são mais expostos a espaços verdes apresentam melhor bem-estar mental. O estudo foi publicado no
"International Journal of Environmental Research and Public Health" no início de fevereiro e mostrou
que, quanto maior a exposição a áreas verdes urbanas, menor é a necessidade de serviços de saúde
mental, como consultas com psiquiatras e tratamentos para transtornos mentais.
Para chegar a essa conclusão, os pesquisadores da Escola de Saúde Pública da Texas A&M University
usaram uma ferramenta chamada NatureScore, que usa vários conjuntos de dados relacionados a
poluição atmosférica, sonora e luminosa, presença de parques e copas de árvores para calcular a
quantidade e qualidade de elementos naturais para qualquer endereço conhecido nos Estados Unidos e
outros países do mundo.
O NatureScore avalia a qualidade da exposição à natureza de acordo com a seguinte pontuação:
deficiente: 0 a 19 pontos; leve: de 20 a 40 pontos; adequada: de 40 a 60 pontos; rica: de 60 a 80 pontos;
utópica: de 80 a 100 pontos.
"A associação entre a exposição à natureza e uma melhor saúde mental está bem estabelecida nos
Estados Unidos e em outros lugares, mas a maioria dos estudos utiliza apenas uma ou duas medições
desta exposição", disse Jay Maddock, um dos autores do estudo em comunicado à imprensa. "Nosso
estudo foi o primeiro a usar o NatureScore, que fornece dados mais complexos, para estudar a
correlação entre a exposição à natureza urbana e a saúde mental"
Os investigadores também usaram dados sobre consultas de saúde mental contidos nos arquivos de
dados públicos de pacientes ambulatoriais do Texas Hospital, de 2014 a 2019. Neles, havia informações
como idade, sexo, raça/etnia, escolarização, situação profissional e socioeconômica, diagnóstico e CEP
do paciente. Ainda assim, a identidade dos pacientes não foi divulgada. Foram selecionados um total de
61.391.400 consultas ambulatoriais de adultos em cidades do Texas para depressão, transtornos
bipolares, estresse e ansiedade. Além disso, a pesquisa incluiu dados de 1.169 endereços na área urbana
do Texas, cuja nota média do NatureScore era de 85,8 pontos. Metade dos CEPs tinha notas elevadas
(acima de 80 pontos) e cerca de 22% tinham notas abaixo de 40 pontos.
Resultados do estudo
De acordo com o estudo, quanto maior era a pontuação de um bairro no NatureScore, menor era a
tendência de os moradores fazerem consultas ambulatoriais devido à saúde mental. Segundo os resultados, as taxas de consultas médicas foram 50% menores em bairros com pontuação acima de 60
pontos, em comparação com bairros que possuem pontuação mais baixa. "Descobrimos que um
NatureScore acima de 40 – considerado adequado – parece ser o limite para uma boa saúde mental",
disse Maddock. "As pessoas nesses bairros têm uma probabilidade 51% menor de desenvolver
depressão e uma probabilidade 63% menor de desenvolver transtornos bipolares".
Para Omar M. Makram, principal autor do estudo, essas descobertas podem ter implicações
importantes para o planejamento urbano. "Aumentar os espaços verdes nas cidades poderia promover
o bem-estar e a saúde mental, o que é extremamente importante, dado que mais de 22% da população
adulta nos Estados Unidos sofre de um distúrbio de saúde mental", disse ele, em comunicado.
Provas
Questão presente nas seguintes provas
Moradores de cidades com maior espaço verde têm melhor saúde mental
Achado é de pesquisa que mostrou que, quanto maior o contato com a natureza, menor a chance de
desenvolver transtornos mentais
Gabriela Maraccini, 23/02/2024 às 11:47
Morar em cidade grande com maiores espaços de área verde, como parques, praças públicas e jardins,
pode ser benéfico para a saúde mental. Um novo estudo mostrou que moradores de áreas urbanas que
são mais expostos a espaços verdes apresentam melhor bem-estar mental. O estudo foi publicado no
"International Journal of Environmental Research and Public Health" no início de fevereiro e mostrou
que, quanto maior a exposição a áreas verdes urbanas, menor é a necessidade de serviços de saúde
mental, como consultas com psiquiatras e tratamentos para transtornos mentais.
Para chegar a essa conclusão, os pesquisadores da Escola de Saúde Pública da Texas A&M University
usaram uma ferramenta chamada NatureScore, que usa vários conjuntos de dados relacionados a
poluição atmosférica, sonora e luminosa, presença de parques e copas de árvores para calcular a
quantidade e qualidade de elementos naturais para qualquer endereço conhecido nos Estados Unidos e
outros países do mundo.
O NatureScore avalia a qualidade da exposição à natureza de acordo com a seguinte pontuação:
deficiente: 0 a 19 pontos; leve: de 20 a 40 pontos; adequada: de 40 a 60 pontos; rica: de 60 a 80 pontos;
utópica: de 80 a 100 pontos.
"A associação entre a exposição à natureza e uma melhor saúde mental está bem estabelecida nos
Estados Unidos e em outros lugares, mas a maioria dos estudos utiliza apenas uma ou duas medições
desta exposição", disse Jay Maddock, um dos autores do estudo em comunicado à imprensa. "Nosso
estudo foi o primeiro a usar o NatureScore, que fornece dados mais complexos, para estudar a
correlação entre a exposição à natureza urbana e a saúde mental"
Os investigadores também usaram dados sobre consultas de saúde mental contidos nos arquivos de
dados públicos de pacientes ambulatoriais do Texas Hospital, de 2014 a 2019. Neles, havia informações
como idade, sexo, raça/etnia, escolarização, situação profissional e socioeconômica, diagnóstico e CEP
do paciente. Ainda assim, a identidade dos pacientes não foi divulgada. Foram selecionados um total de
61.391.400 consultas ambulatoriais de adultos em cidades do Texas para depressão, transtornos
bipolares, estresse e ansiedade. Além disso, a pesquisa incluiu dados de 1.169 endereços na área urbana
do Texas, cuja nota média do NatureScore era de 85,8 pontos. Metade dos CEPs tinha notas elevadas
(acima de 80 pontos) e cerca de 22% tinham notas abaixo de 40 pontos.
Resultados do estudo
De acordo com o estudo, quanto maior era a pontuação de um bairro no NatureScore, menor era a
tendência de os moradores fazerem consultas ambulatoriais devido à saúde mental. Segundo os resultados, as taxas de consultas médicas foram 50% menores em bairros com pontuação acima de 60
pontos, em comparação com bairros que possuem pontuação mais baixa. "Descobrimos que um
NatureScore acima de 40 – considerado adequado – parece ser o limite para uma boa saúde mental",
disse Maddock. "As pessoas nesses bairros têm uma probabilidade 51% menor de desenvolver
depressão e uma probabilidade 63% menor de desenvolver transtornos bipolares".
Para Omar M. Makram, principal autor do estudo, essas descobertas podem ter implicações
importantes para o planejamento urbano. "Aumentar os espaços verdes nas cidades poderia promover
o bem-estar e a saúde mental, o que é extremamente importante, dado que mais de 22% da população
adulta nos Estados Unidos sofre de um distúrbio de saúde mental", disse ele, em comunicado.
Provas
Questão presente nas seguintes provas
Moradores de cidades com maior espaço verde têm melhor saúde mental
Achado é de pesquisa que mostrou que, quanto maior o contato com a natureza, menor a chance de
desenvolver transtornos mentais
Gabriela Maraccini, 23/02/2024 às 11:47
Morar em cidade grande com maiores espaços de área verde, como parques, praças públicas e jardins,
pode ser benéfico para a saúde mental. Um novo estudo mostrou que moradores de áreas urbanas que
são mais expostos a espaços verdes apresentam melhor bem-estar mental. O estudo foi publicado no
"International Journal of Environmental Research and Public Health" no início de fevereiro e mostrou
que, quanto maior a exposição a áreas verdes urbanas, menor é a necessidade de serviços de saúde
mental, como consultas com psiquiatras e tratamentos para transtornos mentais.
Para chegar a essa conclusão, os pesquisadores da Escola de Saúde Pública da Texas A&M University
usaram uma ferramenta chamada NatureScore, que usa vários conjuntos de dados relacionados a
poluição atmosférica, sonora e luminosa, presença de parques e copas de árvores para calcular a
quantidade e qualidade de elementos naturais para qualquer endereço conhecido nos Estados Unidos e
outros países do mundo.
O NatureScore avalia a qualidade da exposição à natureza de acordo com a seguinte pontuação:
deficiente: 0 a 19 pontos; leve: de 20 a 40 pontos; adequada: de 40 a 60 pontos; rica: de 60 a 80 pontos;
utópica: de 80 a 100 pontos.
"A associação entre a exposição à natureza e uma melhor saúde mental está bem estabelecida nos
Estados Unidos e em outros lugares, mas a maioria dos estudos utiliza apenas uma ou duas medições
desta exposição", disse Jay Maddock, um dos autores do estudo em comunicado à imprensa. "Nosso
estudo foi o primeiro a usar o NatureScore, que fornece dados mais complexos, para estudar a
correlação entre a exposição à natureza urbana e a saúde mental"
Os investigadores também usaram dados sobre consultas de saúde mental contidos nos arquivos de
dados públicos de pacientes ambulatoriais do Texas Hospital, de 2014 a 2019. Neles, havia informações
como idade, sexo, raça/etnia, escolarização, situação profissional e socioeconômica, diagnóstico e CEP
do paciente. Ainda assim, a identidade dos pacientes não foi divulgada. Foram selecionados um total de
61.391.400 consultas ambulatoriais de adultos em cidades do Texas para depressão, transtornos
bipolares, estresse e ansiedade. Além disso, a pesquisa incluiu dados de 1.169 endereços na área urbana
do Texas, cuja nota média do NatureScore era de 85,8 pontos. Metade dos CEPs tinha notas elevadas
(acima de 80 pontos) e cerca de 22% tinham notas abaixo de 40 pontos.
Resultados do estudo
De acordo com o estudo, quanto maior era a pontuação de um bairro no NatureScore, menor era a
tendência de os moradores fazerem consultas ambulatoriais devido à saúde mental. Segundo os resultados, as taxas de consultas médicas foram 50% menores em bairros com pontuação acima de 60
pontos, em comparação com bairros que possuem pontuação mais baixa. "Descobrimos que um
NatureScore acima de 40 – considerado adequado – parece ser o limite para uma boa saúde mental",
disse Maddock. "As pessoas nesses bairros têm uma probabilidade 51% menor de desenvolver
depressão e uma probabilidade 63% menor de desenvolver transtornos bipolares".
Para Omar M. Makram, principal autor do estudo, essas descobertas podem ter implicações
importantes para o planejamento urbano. "Aumentar os espaços verdes nas cidades poderia promover
o bem-estar e a saúde mental, o que é extremamente importante, dado que mais de 22% da população
adulta nos Estados Unidos sofre de um distúrbio de saúde mental", disse ele, em comunicado.
Provas
Questão presente nas seguintes provas
Cadernos
Caderno Container