Foram encontradas 558 questões.
Em um restaurante chinês, a promoção do dia permite
montar um combo com três tipos de sushis: hot,
uramaki e hossomaki. Existem 5 sabores para o hot, 6
para o uramaki e 10 para o hossomaki. De quantas
formas se pode fazer o combo, levando-se em
consideração que teve, pelo menos, um tipo de sushi?
Provas
Questão presente nas seguintes provas
Um pequeno fazendeiro comprou 1000 metros de
uma cerca com arame farpado e pretende fazer um
curral de formato retangular. Desta forma, qual a área
máxima que ele pode dimensionar?
Provas
Questão presente nas seguintes provas
Considere o número natural n = 430. A quantidade de
divisores pares é:
Provas
Questão presente nas seguintes provas
Determinado tanque de armazenagem de nitrogênio tem formato cilíndrico circular reto com 8m de altura e um hemisfério em cada extremidade. O volume do tanque é descrito em função do raio r por:
Provas
Questão presente nas seguintes provas
A soma dos 40 primeiros termos da progressão
aritmética (2, 5, 8, 11, ...) é:
Provas
Questão presente nas seguintes provas
Em uma cidade com 6.200 habitantes, a taxa de
pessoas habilitadas a trabalhar é de 75%. Se nessa
cidade a taxa de desemprego é de 20%, a quantidade
de habitantes que estão trabalhando é:
Provas
Questão presente nas seguintes provas
Analise as afirmações abaixo e assinale a alternativa CORRETA.
(I) !$ - 5\,\in\, \mathbb{Z} !$
(II) !$ \sqrt{2} \in\, \mathbb{Q} !$
(III) !$ 0\,\in\, \mathbb{N}^* !$
Provas
Questão presente nas seguintes provas
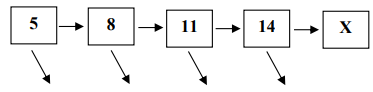
Observe o diagrama a seguir:

O produto numérico entre X e Y, quando se completa o diagrama de acordo com o padrão, é igual a:

O produto numérico entre X e Y, quando se completa o diagrama de acordo com o padrão, é igual a:
Provas
Questão presente nas seguintes provas
A gerente de uma loja de calçados teve um aumento
salarial de 8% e passou a receber R$ 1.009,80. O
salário dessa gerente antes do aumento era de:
Provas
Questão presente nas seguintes provas
Uma empresa tem cinco funcionários, cada um
recebendo um salário de acordo com a tabela abaixo:
Funcionário Salário (R$)
Ana 1.200,00
João 1.100,00
Marcos 1.400,00
Fátima 1.500,00
Juliana 2.000,00
Se o salário da Juliana aumentar em 20%, a média salarial dessa empresa vai:
Funcionário Salário (R$)
Ana 1.200,00
João 1.100,00
Marcos 1.400,00
Fátima 1.500,00
Juliana 2.000,00
Se o salário da Juliana aumentar em 20%, a média salarial dessa empresa vai:
Provas
Questão presente nas seguintes provas
Cadernos
Caderno Container