Foram encontradas 40 questões.
Disciplina: Engenharia Elétrica
Banca: ENERGIAESSENCIAL
Orgão: Pref. Julio Castilhos-RS
Observe as afirmações abaixo, sobre cargas elétricas:
I – Cargas elétricas positivas se atraem;
II – Cargas elétricas negativas se repelem;
III – Cargas elétricas de sinais contrários (positiva e negativa) se atraem.
Quais afirmativas acima estão corretas?
Provas
Disciplina: Segurança e Saúde no Trabalho (SST)
Banca: ENERGIAESSENCIAL
Orgão: Pref. Julio Castilhos-RS
Analise as afirmações abaixo, sobre a utilização correta de capacete, de acordo com os Equipamentos de Proteção Individual:
I – capacete para proteção contra impactos de objetos sobre o crânio;
II – capacete para proteção contra choques elétricos;
III – capacete para proteção do crânio e face contra agentes térmicos.
Quais afirmativas acima estão corretas?
Provas
Disciplina: Engenharia Elétrica
Banca: ENERGIAESSENCIAL
Orgão: Pref. Julio Castilhos-RS
“Sua função básica é proporcionar um caminho seguro para a descarga elétrica. Quando o fio está ligado a terra, ele faz com que a descarga seja conduzida até o solo.” O trecho acima refere-se a:
Provas
Disciplina: Engenharia Elétrica
Banca: ENERGIAESSENCIAL
Orgão: Pref. Julio Castilhos-RS
Observe as afirmações abaixo, levando-se em consideração choque elétrico:
I – Ocorrem de fato sempre que uma determinada corrente elétrica percorre o corpo humano. Dependendo da situação, um choque pode causar apenas um pequeno formigamento, queimaduras de 3º grau ou até mesmo levar a pessoa a óbito;
II – A corrente elétrica, quando percorre o corpo humano, interfere junto às correntes internas carregadas pelos nervos, dando-nos a sensação de formigamento;
III – Para que o choque ocorra, deve haver uma diferença de potencial entre dois pontos distintos do corpo humano, ou seja, quanto maior for a diferença de potencial, maior será a corrente elétrica. Como consequência, o choque também será maior.
Quais afirmativas acima estão corretas?
Provas
Disciplina: Engenharia Elétrica
Banca: ENERGIAESSENCIAL
Orgão: Pref. Julio Castilhos-RS
Como se chama a quantidade de energia gerada para mover uma carga elétrica?
Provas
Disciplina: Engenharia Eletrônica
Banca: ENERGIAESSENCIAL
Orgão: Pref. Julio Castilhos-RS
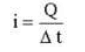
A intensidade da corrente é dada pela quantidade de carga elétrica por unidade de tempo. Então temos Onde:

I – Q = carga elétrica > Joule (J);
II – Delta t = intervalo de tempo > hora (h);
III – i = intensidade de corrente elétrica > Coulomb por segundo (C/s) = Ampere (A).
Quais afirmativas acima estão corretas?
Provas
Disciplina: Engenharia Elétrica
Banca: ENERGIAESSENCIAL
Orgão: Pref. Julio Castilhos-RS
Observe as afirmações abaixo, levando-se em consideração os tipos de condutores elétricos:
I – Sólidos: a corrente elétrica é constituída somente pelo movimento dos elétrons;
II – Líquidos: a corrente elétrica é constituída pelo movimento de cátions e ânions. Isto ocorre nas lâmpadas fluorescentes a vapor de sódio ou de mercúrio;
III – Gasosos: a corrente elétrica é constituída pelo movimento de cargas positivas e negativas. Obs: também são conhecidos como soluções eletrolíticas, sendo formadas basicamente por solutos e solventes.
Quais afirmativas acima estão corretas?
Provas
Disciplina: Engenharia Elétrica
Banca: ENERGIAESSENCIAL
Orgão: Pref. Julio Castilhos-RS
Analise as afirmações abaixo, levando-se em consideração os processos de eletrização:
I – Por Atrito: Como o próprio nome diz, atritando-se, ou melhor, colocando-se dois corpos constituídos de substâncias diferentes e inicialmente neutros em contato muito próximo, um deles cede elétrons, enquanto o outro recebe. Ao final, os dois corpos estarão eletrizados e com cargas elétricas opostas;
II – Por Contato: É o fenômeno de separação das cargas elétricas de sinais contrários em um mesmo corpo. Portanto, esse tipo de eletrização pode ocorrer apenas pela aproximação entre um corpo eletrizado e um corpo neutro, sem que entre eles aconteça qualquer tipo de contato;
III – Por Indução: É um processo no qual um corpo eletrizado é colocado em contato com um corpo neutro. De preferência, devem ser usados dois corpos condutores de eletricidade.
Quais afirmativas acima estão corretas?
Provas
Disciplina: Engenharia Elétrica
Banca: ENERGIAESSENCIAL
Orgão: Pref. Julio Castilhos-RS
Das alternativas citadas abaixo, assinale a que não corresponde a um exemplo de material isolante:
Provas
Disciplina: Engenharia Elétrica
Banca: ENERGIAESSENCIAL
Orgão: Pref. Julio Castilhos-RS
Uma matéria é composta principalmente por elétrons, prótons e nêutrons. Destes três, quem possui carga elétricas?
I – elétrons;
II – prótons;
III – nêutrons.
Quais afirmativas acima estão corretas?
Provas
Caderno Container