Foram encontradas 481 questões.
Provas
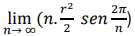
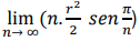
I. a3 + b3 = (a + b)(a2 − ab + b2) II. (a − b)3 = a3 − 3a2b + 3ab2 − b3 III. ax2 + bx + c = b(x + x1)(x + x2) onde x1 e x2 são raízes da equação
É correto o que afirma
Provas
Provas
Provas
Provas
Provas
TEXTO II
O apanhador de desperdícios
Uso a palavra para compor meus silêncios.
Não gosto das palavras
fatigadas de informar.
Dou mais respeito
às que vivem de barriga no chão
tipo água pedra sapo.
Entendo bem o sotaque das águas
Dou respeito às coisas desimportantes
e aos seres desimportantes.
Prezo insetos mais que aviões.
Prezo a velocidade
das tartarugas mais que a dos mísseis.
Tenho em mim um atraso de nascença.
Eu fui aparelhado
para gostar de passarinhos.
Tenho abundância de ser feliz por isso.
Meu quintal é maior do que o mundo.
Sou um apanhador de desperdícios:
Amo os restos
como as boas moscas.
Queria que a minha voz tivesse um formato
de canto.
Porque eu não sou da informática:
eu sou da invencionática.
Só uso a palavra para compor meus silêncios.
Manoel de Barros
Disponível em -Memórias Inventadas – As Infâncias de
Manoel de Barros –
Manoel de Barros – Editora Planeta, 2008, p.45.
“Entendo bem o sotaque das águas Dou respeito às coisas desimportantes e aos seres desimportantes”.
Provas
TEXTO I
Mário Sérgio Cortella
O sempre surpreendente Guimarães Rosa dizia: “O animal satisfeito dorme”. Por trás dessa aparente obviedade está um dos mais profundos alertas contra o risco de cairmos na monotonia existencial, na redundância afetiva e na indigência intelectual. O que o escritor tão bem percebeu é que a condição humana perde substância e energia vital toda vez que se sente plenamente confortável com a maneira como as coisas já estão rendendo-se à sedução do repouso e imobilizando-se na acomodação.
A advertência é preciosa: não esquecer que a satisfação conclui, encerra, termina; a satisfação não deixa margem para a continuidade, para o prosseguimento, para a persistência, para o desdobramento. A satisfação acalma, limita, amortece.
Por isso, quando alguém diz “Fiquei muito satisfeito com você” ou “Estou muito satisfeita com seu trabalho”, é assustador. O que se quer dizer com isso? Que nada mais de mim se deseja? Que o ponto atual é meu limite e, portanto, minha possibilidade? Que de mim nada mais além se pode esperar? Que está bom como está? Assim seria apavorante; passaria a ideia de que desse jeito já basta. Ora, o agradável é alguém dizer “seu trabalho (ou carinho, ou comida, ou aula, ou texto, ou música, etc) é bom, fiquei muito insatisfeito e, portanto, quero mais, quero continuar, quero conhecer outras coisas”.
Um bom filme não é exatamente aquele que, quando termina, nos deixa insatisfeitos, parados, olhando, quietos, para a tela, enquanto passam os letreiros, desejando que não cesse? Um bom livro não é aquele que, quando encerramos a leitura, permanece um pouco apoiado no colo e nos deixa absortos e distantes, pensando que não poderia terminar? Uma boa festa, um bom jogo, um bom passeio, uma boa cerimônia não é aquela que queremos que se prolongue?
Com a vida de cada um e de cada uma também tem de ser assim; afinal de contas, não nascemos prontos e acabados. Ainda bem, pois estar satisfeito consigo mesmo é considerar-se terminado e constrangido ao possível da condição do momento.
Quando crianças (só as crianças?), muitas vezes, diante da tensão provocada por algum desafio que exigia esforço (estudar, treinar, emagrecer, etc), ficávamos preocupados e irritados, sonhando e pensando: Por que a gente já não nasce pronto, sabendo todas as coisas? Bela e ingênua perspectiva. É fundamental não nascermos sabendo nem prontos; o ser que nasce sabendo não terá novidades, só reiterações. Somos seres de insatisfação e precisamos ter nisso alguma dose de ambição; todavia, ambição é diferente de ganância, dado que o ambicioso quer mais e melhor, enquanto que o ganancioso quer só para si próprio.
Nascer sabendo é uma limitação porque obriga a apenas repetir e, nunca, a criar, inovar, refazer, modificar. Quanto mais se nasce pronto, mais se é refém do que já se sabe e, portanto, do passado; aprender sempre é o que mais impede que nos tornemos prisioneiros de situações que, por serem inéditas, não saberíamos enfrentar.
Diante dessa realidade, é absurdo acreditar na ideia de que uma pessoa, quanto mais vive, mais velha fica; para que alguém quanto mais vivesse, mais velho ficasse, teria de ter nascido pronto e ir se gastando…
Isso não ocorre com gente, mas com fogão, sapato, geladeira. Gente não nasce pronta e vai se gastando; gente nasce não-pronta e vai se fazendo. Eu, no ano 2013, sou a minha mais nova edição (revista e, às vezes, um pouco ampliada); o mais velho de mim (se é o tempo a medida) está no meu passado, não no presente. Demora um pouco para entender tudo isso; aliás, como falou o mesmo Guimarães, “não convém fazer escândalo de começo; só aos poucos é que o escuro é claro”…
Disponível em https://www.pensador.com/autor/mario_sergio_cortella/.
Provas
TEXTO I
O que será de nós, os maus alunos?
Por Beatriz Vargas Dorneles*
O livro de Álvaro Marchesi é instigador em vários sentidos, a começar pelo título. Trata-se de uma obra que retoma os problemas de aprendizagem em suas múltiplas perspectivas, mostrando que é possível estabelecer políticas efetivas para enfrentar o fracasso escolar. O autor descreve as diferentes funções cognitivas que os alunos precisam desenvolver para aprender bem; as formas de ensinar que têm sido eficazes; as constituições familiares que, em sua diversidade, facilitam ou dificultam o acompanhamento escolar; as evidências de que a responsabilidade pelo fracasso escolar é multidimensional.
Trabalhando com as compensações entre os vários níveis de fatores que interferem na aprendizagem (social, cultural, familiar, escolar e individual), Marchesi destaca que as políticas educacionais que realmente queiram evitar o fracasso escolar devem atuar em todas as dimensões concomitantemente. Seus reflexos são baseados em autores contemporâneos de diferentes áreas, que servem como suporte para a ideia central do livro: considerando a multidimensionalidade do fenômeno, é preciso encontrar soluções multifacetadas. Essas soluções passam por uma melhor qualificação e atualização de saberes, pela construção
de uma rede de apoio aos alunos, formada pela família e pela escola, e por uma reorganização interna da escola a partir de suas formas de ensino até suas possibilidades de avaliação.
É sempre instigador pensarmos que, apesar de haver uma enorme quantidade de pesquisas sobre o tema fracasso escolar, tão pouco tenha mudado nas últimas décadas. Álvaro Marchesi ajuda-nos a entender a razão desse fato. As políticas de atendimento às crianças que não aprendem tendem a valorizar um só nível de intervenção, deixando os outros níveis de lado. O autor insiste na ideia de que, considerando que este é um fenômeno multidimensional, somente políticas de intervenção que englobem vários níveis e que tenham continuidade poderão efetivamente diminuir o fracasso escolar em nossa sociedade.
Unindo pesquisa na área com possibilidades de intervenção objetiva, o autor oferece-nos uma radiografia do fracasso escolar, com todas as suas nuances, mas também com uma possibilidade de enfrentamento do problema em toda a sua complexidade, o que o torna único no tratamento do tema.
(*) Professora do Programa de Pós-Graduação em Educação da UFRGS.
Disponível em http://www.ead.uepb.edu.br/ava/arquivos/cursos/geografia/leitura_inter pretacao_e_producao_de_textos/Le_PT_A14_J_1_.pdf. Acesso em
14/09/2020.
Provas
TEXTO III
Na proposta realista, “o significado de uma expressão linguística é a parcela da realidade que ela identifica”. Tal concepção se baseia no modelo da nomenclatura, que coloca, de um lado, os itens verbais e, de outro, os objetos do mundo por eles nomeados. Por sua vez, a linguagem “é um mero duplo do real, que se baseia em uma correspondência biunívoca e óbvia entre os nomes e as coisas”.
Disponível em
http://www.leffa.pro.br/tela4/Textos/Textos/Anais/ABRALIN_ 2009/PDF/Ros%C3%A2ngela%20Alves%20dos%20Santos
%20BERNARDINO.pdf. Acesso em 13/09/2020.
Provas
Caderno Container