Magna Concursos

Foram encontradas 387 questões.

3910288 Ano: 2025
Disciplina: Fisioterapia
Banca: FUMARC
Orgão: Pref. Japaraíba-MG
Provas:
A avaliação fisioterapêutica, na área da saúde da mulher, é composta por entrevista, exame físico e exames complementares. O exame físico envolve o exame das estruturas do assoalho pélvico; para tal, deve-se utilizar testes e medidas padronizadas que sejam válidos e confiáveis para documentar os desfechos da intervenção fisioterapêutica.
Considerando a avaliação do assoalho pélvico feminino, analise as afirmações a seguir:

I. A Escala de Oxford Modificada é utilizada para avaliar a força muscular do assoalho pélvico por meio da palpação vaginal.
II. A manometria vaginal permite registrar o valor da pressão vaginal gerada pelos músculos do assoalho pélvico durante sua contração.
III. A eletromiografia de superfície é uma medida direta da força muscular dos músculos do assoalho pélvico.
IV. As técnicas de ultrassom têm o objetivo de avaliar as estruturas que compõem o assoalho pélvico e, por meio do deslocamento e volume destas, documentar, de forma indireta, as funções musculares do assoalho pélvico.

É CORRETO apenas o que se afirma em:
 

Provas

Questão presente nas seguintes provas
3910287 Ano: 2025
Disciplina: Fisioterapia
Banca: FUMARC
Orgão: Pref. Japaraíba-MG
Provas:
Homem, 62 anos, porteiro, hemiparético à esquerda devido a Acidente Vascular Cerebral (AVC) no hemisfério direito ocorrido há 2 meses. Chegou ao setor de fisioterapia andando com uma bengala simples e fazendo uso de uma órtese curta. Durante a marcha, observou-se um padrão de circundução do membro inferior esquerdo, com esforço físico moderado e uma insegurança frente ao risco de queda. Ao exame físico, foram observadas fraqueza muscular moderada e espasticidade nos flexores de punho e nos flexores plantares do hemicorpo esquerdo e ausência de déficit cognitivo. A esposa relatou que o paciente se sentia triste, pois parou de trabalhar e não conseguia mais ir ao culto da igreja devido à presença de escadas para acessar a rua de sua casa.
Considerando o caso clínico descrito acima, avalie as afirmações a seguir a respeito da avaliação neurofuncional baseada na Classificação Internacional de Funcionalidade, Incapacidade e Saúde (CIF): 

I. Deve-se utilizar o teste de Sentar e Levantar 5 (cinco) vezes para avaliar o domínio Função Corporal, pois permite avaliar a força e a resistência dos membros inferiores.
II. A fim de avaliar o componente Participação, o Teste de Caminhada de 6 (seis) minutos é indicado para mensurar os parâmetros espaço-temporais da marcha, identificando as dificuldades que o paciente enfrenta devido ao AVC.
III. Para avaliação do domínio Atividade, pode-se utilizar a escala de equilíbrio de Berg para detectar os problemas de equilíbrio e o teste levantar e caminhar (Timed Get Up –TUG) que avalia a relação entre mobilidade e equilíbrio dinâmico.
IV. Dentro do domínio Participação, deve-se utilizar algum instrumento que avalia a qualidade de vida, por aproximar o papel da reabilitação à vida real do paciente, incluindo sua rotina, trabalho e família.

É CORRETO o que se afirma em:
 

Provas

Questão presente nas seguintes provas
3910286 Ano: 2025
Disciplina: Fisioterapia
Banca: FUMARC
Orgão: Pref. Japaraíba-MG
Provas:
Uma criança de 4 anos de idade, com diagnóstico de Paralisia Cerebral (PC), faz uso de óculos e apresenta um estrabismo convergente; não apresenta convulsões e um cognitivo bom. A criança apresenta espasticidade em tríceps surais e isquiossurais, quadris fletidos, joelhos fletidos e pés em flexão plantar. Realiza todas as transferências de posturas; deambula; apresenta dificuldade em subir escadas e correr; adora cantar; brincar com objetos de encaixe e não participa da educação física, pois não consegue acompanhar os colegas.
Considerando esse contexto e de acordo com a Classificação Internacional de Funcionalidade (CIF) avalie as afirmações a seguir: 

I. Exemplos de atividades funcionais limitadas na criança: dificuldade em subir escadas e correr
II. Dentro do domínio estrutura e função do corpo a criança apresenta flexão de quadris e joelhos
III. Trata-se de um caso de hemiparesia espástica à esquerda com habilidade global para manipular objetos compatível com o nível IV da escala MACS (Manual Ability Classification System), o que vai limitar a participação social da criança
IV. A criança apresenta limitação em estrutura e função e restrição na participação social

É CORRETO apenas o que se afirma em:
 

Provas

Questão presente nas seguintes provas
3910285 Ano: 2025
Disciplina: Fisioterapia
Banca: FUMARC
Orgão: Pref. Japaraíba-MG
Provas:
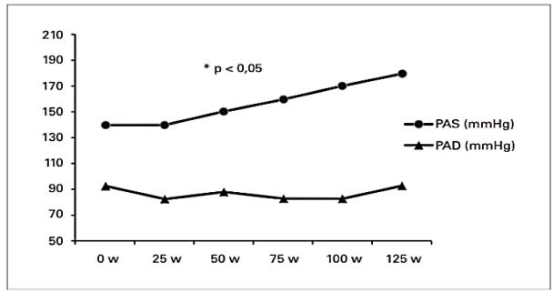
A figura abaixo mostra os valores medianos de pressão arterial sistólica (PAS) e pressão arterial diastólica (PAD) obtidos de cinco jovens saudáveis durante a realização de protocolo de esforço (intensidade) crescente contínuo, feito em bicicleta ergométrica. 

Enunciado 4889852-1
PASCHOAL, M. A. Fisioterapia cardiovascular: avaliação e conduta na reabilitação cardíaca. Barueri: Manole, 2010 (adaptado).

Com base nas informações da figura e nos conhecimentos acerca do comportamento da pressão arterial durante exercícios físicos dinâmicos, avalie as afirmações a seguir:

I. Elevações da pressão arterial diastólica (PAD) a valores acima de 15 mmHg são preocupantes e indicam presença de anormalidades, sendo, inclusive, um dos fatores para interrupção de protocolos de avaliação diagnóstica ou protocolos de tratamento.
II. Quando o exercício físico é estável, ou seja, realizado sem variações de intensidade, mas com um consumo de oxigênio maior do que no início da atividade, espera-se uma elevação da pressão arterial sistólica (PAS) em relação ao valor de repouso, seguida de uma estabilização após alguns minutos.
III. É fisiológico ocorrer hipotensão arterial pós-esforço devido a fatores que reduzem a resistência vascular periférica, o que torna os exercícios físicos dinâmicos uma boa opção terapêutica para indivíduos hipertensos.

É CORRETO o que se afirma em:
 

Provas

Questão presente nas seguintes provas
3910284 Ano: 2025
Disciplina: Fisioterapia
Banca: FUMARC
Orgão: Pref. Japaraíba-MG
Provas:
Existem recursos de tratamento fisioterapêutico respiratório que podem ser utilizados com objetivo de aumentar os níveis de oxigenação nos tecidos.
Analise as afirmativas a seguir:

I) Aparelhos que usam a PEEP (positive end expiratory pressure ou pressão positiva expiratória final) aumentam a oxigenação por promoverem pressão positiva no final da expiração, proporcionando maior abertura alveolar.
II) Os aparelhos que produzem oscilações de alta frequência promovem melhora na oxigenação ao aumentar o volume pulmonar e otimizar as trocas gasosas.
III) Treinadores musculares inspiratórios aumentam a oxigenação por proporcionarem pressão alveolar positiva durante a inspiração.

Assinale a opção CORRETA que explique o mecanismo de aumento da oxigenação pulmonar:
 

Provas

Questão presente nas seguintes provas
3910283 Ano: 2025
Disciplina: Fisioterapia
Banca: FUMARC
Orgão: Pref. Japaraíba-MG
Provas:
Paciente admitido na UTI com quadro de insuficiência respiratória aguda tipo I, necessitando de ventilação mecânica invasiva prolongada. Após a estabilização do quadro, o fisioterapeuta inicia o processo de desmame da ventilação mecânica.

Diante do exposto, quais são as estratégias ventilatórias e de fisioterapia mais adequadas para o manejo desse paciente durante o processo de desmame da ventilação mecânica?
 

Provas

Questão presente nas seguintes provas
3910282 Ano: 2025
Disciplina: Fisioterapia
Banca: FUMARC
Orgão: Pref. Japaraíba-MG
Provas:
Paciente, 22 anos, chega ao setor de fisioterapia relatando cefaleia na região occipital, com limitação dolorosa de movimentos do pescoço, principalmente flexão e extensão, sendo que estes movimentos alteram a cefaleia.
O exame postural revelou projeção da cabeça para frente, dentre outras alterações, que condizem com a chamada “síndrome cruzada posterior”, descrita por Janda (1994). Nela, os músculos occipitais apresentam-se encurtados, bem como os peitorais maior e menor, juntamente com a porção superior dos trapézios e levantador da escápula. 
Em oposição a esses músculos encurtados, encontram-se fracos os flexores profundos do pescoço, romboides, serráteis anteriores e, frequentemente, a porção inferior dos trapézios.
A imagem abaixo ilustra esse padrão postural: 

Enunciado 4889849-1

Fonte: Magee, D. J., 2010.

A partir das informações apresentadas, analise as afirmativas abaixo e, a seguir, marque a opção que corresponde às correlações propostas: 

I) Espera-se, pelos dados apresentados, que a mobilidade do segmento C1-C2 seja a mais comprometida neste indivíduo.
II) Espera-se, pelos dados apresentados, que a mobilidade do segmento C0-C1 seja a mais comprometida neste indivíduo.
III) Espera-se encontrar dor ou outra alteração de sensibilidade na área suboccipital.
IV) Os sintomas apresentados coincidem com a compressão da raiz de C2.

Estão CORRETOS apenas os itens:
 

Provas

Questão presente nas seguintes provas
3910281 Ano: 2025
Disciplina: Fisioterapia
Banca: FUMARC
Orgão: Pref. Japaraíba-MG
Provas:
Durante um atendimento de fisioterapia, o paciente informa ao fisioterapeuta que deseja interromper o tratamento, apesar de confiar no profissional, ter simpatia por ele e reconhecer sua competência.

Considerando que o fisioterapeuta tem o dever ético de zelar pela saúde do paciente, como ele deve proceder de acordo com o Código de Ética da Fisioterapia (Resolução nº 424, de 8 de julho de 2013 – D.O.U. nº 147, Seção 1, de 1º de agosto de 2013)?
 

Provas

Questão presente nas seguintes provas
3910280 Ano: 2025
Disciplina: Farmácia
Banca: FUMARC
Orgão: Pref. Japaraíba-MG
Provas:
Uma determinada via X de administração de medicamentos foi escolhida com base em suas vantagens e desvantagens de uso. Como vantagens, a via X promove a absorção rápida de substâncias lipossolúveis e reduz a biotransformação do princípio ativo pelo fígado, por atingir diretamente a circulação sistêmica. Como desvantagens, a via X é considerada imprópria para ser utilizada quando o princípio ativo administrado apresenta sabor desagradável.

Pode-se, então, afirmar que a via X se refere à via:
 

Provas

Questão presente nas seguintes provas
3910279 Ano: 2025
Disciplina: Farmácia
Banca: FUMARC
Orgão: Pref. Japaraíba-MG
Provas:
De acordo com a Classificação de Resíduos de Serviços de Saúde estabelecida pela ANVISA, por meio da RDC Nº 222/2018, fazem parte do grupo A os resíduos com a possível presença de agentes biológicos que, por suas características, podem apresentar risco de infecção. Por sua variedade, os resíduos do grupo A foram ainda classificados em subgrupos A1, A2, A3, A4 e A5. Assinale a alternativa que corresponde a resíduos do subgrupo A2:
 

Provas

Questão presente nas seguintes provas