Foram encontradas 296 questões.
Seja P(x) = (x + 2)(x2 – 4x + k). Sabe-se que P(x) é divisível por (x – 3). Determine Corretamente o valor de k.
Provas
Questão presente nas seguintes provas
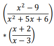
Considere
Simplifique a
seguinte expressão:

Ao simplificar a expressão apresentada o seguinte resultado será encontrado:
Provas
Questão presente nas seguintes provas
Assinale a assertiva que apresenta o menor número
inteiro positivo que é múltiplo de 12 e de 18.
Provas
Questão presente nas seguintes provas
Um número inteiro N é divisível por 6 e por 15. Sabe-se
que N está entre 200 e 300 e que a soma dos algarismos
de N é igual a 9. Qual é o valor de N?
Provas
Questão presente nas seguintes provas
Um reservatório foi preenchido com dois tipos de líquido,
A e B, em uma razão inicial de 3:5 em volume.
Posteriormente, foram adicionados 20 litros de líquido A
e 20 litros de líquido B, mantendo, assim, o mesmo tipo
de líquido em cada compartimento. Após essa adição, a
razão entre os volumes de A e B passou a ser 4:5. Qual
era, em litros, o volume inicial de líquido A no
reservatório?
Provas
Questão presente nas seguintes provas
No contexto da pesquisa em saúde e enfermagem, é
correto afirmar:
Provas
Questão presente nas seguintes provas
Em relação à Central de Material e Esterilização (CME) e
ao processamento de produtos para saúde, assinale a
alternativa correta:
Provas
Questão presente nas seguintes provas
Com base nas diretrizes de controle de infecção
hospitalar e no papel da equipe de enfermagem, assinale
a alternativa correta:
Provas
Questão presente nas seguintes provas
Com relação às medidas de precaução e biossegurança
no ambiente de assistência à saúde, é correto afirmar
que:
Provas
Questão presente nas seguintes provas
Sobre os processos de esterilização de produtos para
saúde e os mecanismos de controle de qualidade
associados, assinale a alternativa correta:
Provas
Questão presente nas seguintes provas
Cadernos
Caderno Container