Magna Concursos

Foram encontradas 990 questões.

598460 Ano: 2018
Disciplina: Farmácia
Banca: IBADE
Orgão: Pref. Ji-Paraná-RO
Provas:
O consumo médio por meio da média móvel de um medicamento é uma forma de se realizar a projeção da demanda em farmácias hospitalares. Analise o quadro a seguir contendo o número de frascos consumidos de ceftriaxona 1g (pó liófilo) de um determinado hospital.
enunciado 598460-1
É correto afirmar que o consumo médio foi igual a quantas unidades?
 

Provas

Questão presente nas seguintes provas
598459 Ano: 2018
Disciplina: Farmácia
Banca: IBADE
Orgão: Pref. Ji-Paraná-RO
Provas:
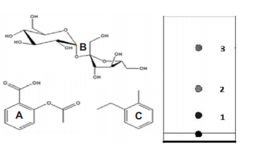
Um experimento de cromatografia em camada fina, utilizando placa de alumínio com sílica ligada (fase reversa C-18) como fase estacionária produziu, o resultado a seguir. Sabendo que o eluente utilizado foi metanol: água (0,5:1,0) e, que a amostra continha as 3 substâncias a seguir representadas, relacione o número de cada mancha na CCD com as estruturas químicas (A, B, ou C) e marque a opção correta.
enunciado 598459-1
 

Provas

Questão presente nas seguintes provas
598458 Ano: 2018
Disciplina: Farmácia
Banca: IBADE
Orgão: Pref. Ji-Paraná-RO
Provas:
Considerando o uso da placa de cromatografia em camada fina (CCF) ascendente de Gel de Sílica 60 F254 como fase estacionária e, os dados apresentados, marque a alternativa correta quanto aos valores de fator de retenção (R1 ) das substâncias 1 e 3 e, o fator de separação entre as substâncias da amostra 2, respectivamente. Sistema de solvente adotado: diclorometano/acetato de etila (4:2). Dados: ds = distância percorrida pela substância; dfm = distância percorrida pela fase móvel. enunciado 598458-1
 

Provas

Questão presente nas seguintes provas
598457 Ano: 2018
Disciplina: Farmácia
Banca: IBADE
Orgão: Pref. Ji-Paraná-RO
Provas:
O ópio ( Papver somniferum ) é uma espécie vegetal rica em alcaloides, como por exemplo, a morfina, um fármaco narcótico, do grupo dos opioides (agonistas dos receptores opioides), de alto poder analgésico usado para aliviar dores severas. A morfina pode ser extraída a partir da incisão dos frutos imaturos bem como das folhas da papoula (ópio) através de diferentes processos extrativos. Considerando os conhecimentos sobre estrutura química, extração e conceito de ácido-base, é correto afirmar que a morfina: enunciado 598457-1
 

Provas

Questão presente nas seguintes provas
598456 Ano: 2018
Disciplina: Farmácia
Banca: IBADE
Orgão: Pref. Ji-Paraná-RO
Provas:
A dependência de drogas refere-se ao estado em que o uso da droga torna-se compulsivo, passando a se tornar prioritário frente a outras atividades. Abuso de drogas e abuso de substâncias são expressões mais amplas, que se referem a qualquer uso de substâncias ilícitas. O fato é que todas as drogas psicoativas capazes de gerar dependência produzem efeito de recompensa, e, associado a este, um processo de habituação ou adaptação quando a droga é administrada continuamente. Dessa forma, em todas as fases são ativadas vias e mecanismos celulares, além de ações específicas em receptores, conforme está corretamente descrito na alternativa:
 

Provas

Questão presente nas seguintes provas
598455 Ano: 2018
Disciplina: Farmácia
Banca: IBADE
Orgão: Pref. Ji-Paraná-RO
Provas:
Em relação ao armazenamento de medicamentos, infere-se que é o “conjunto de procedimentos técnicos e administrativos que tem por finalidade assegurar as condições adequadas de conservação dos produtos” (BRASIL, 2006c). Esse processo envolve os seguintes procedimentos técnicos e administrativos:
 

Provas

Questão presente nas seguintes provas
598454 Ano: 2018
Disciplina: Farmácia
Banca: IBADE
Orgão: Pref. Ji-Paraná-RO
Provas:
A alternativa que apresenta corretamente o nome dos documentos que são preconizados nos sistemas de registro do processo de produção de cada lote de medicamento se constitui uma exigência dos programas de garantia da qualidade e devem ser verificados nos processos de aquisição de medicamentos é a:
 

Provas

Questão presente nas seguintes provas
598453 Ano: 2018
Disciplina: Farmácia
Banca: IBADE
Orgão: Pref. Ji-Paraná-RO
Provas:
Na insuficiência cardíaca congestiva, o uso de cardiotônicos pode promover efeito fortificante ao coração, embora seja necessário avaliar seu uso junto a outros medicamentos, a fim de evitar interações medicamentosas que interfiram em sua ação. Sendo assim, no caso do cardiotônico digoxina, em seu uso concomitante com antiácidos, pode provocar:
 

Provas

Questão presente nas seguintes provas
598452 Ano: 2018
Disciplina: Farmácia
Banca: IBADE
Orgão: Pref. Ji-Paraná-RO
Provas:

Analise as afirmativas sobre a participação do farmacêutico em comissões hospitalares e assinale a alternativa correta.

I. Seu papel na Comissão de Farmácia e Terapêutica se restringe à presidência, uma vez que a avaliação de novas alternativas terapêuticas é realizada por médicos e demais membros do grupo que possuam mandato definido pela direção.

II. O simples monitoramento do consumo mensal de antimicrobianos fornece informações úteis sobre alterações significativas que poderão fundamentar a investigação detalhada sobre seu uso racional junto a comissão de controle de infecção hospitalar.

III. Deve aconselhar a seleção de antissépticos, desinfetantes e esterilizantes pelas Comissões de Farmácia e Terapêutica e de Controle de Infecção Hospitalar para a constituição de uma pequena relação de produtos eficazes, seguros e de menor custo.

Está correto apenas o que se afirma em:

 

Provas

Questão presente nas seguintes provas
598451 Ano: 2018
Disciplina: Farmácia
Banca: IBADE
Orgão: Pref. Ji-Paraná-RO
Provas:
Para se realizar uma estocagem correta de medicamentos, há que se estabelecerem condições técnicas e procedimentos operacionais. Dentre estes, marque a seguir o procedimento corretamente descrito.
 

Provas

Questão presente nas seguintes provas