Foram encontradas 1.416 questões.
Considerando as instalações prediais de
água fria e analisando as tubulações do
reservatório elevado, ilustrado a seguir, os
números de 1 a 5 da figura correspondem,
correta e respectivamente, a:


Provas
Questão presente nas seguintes provas
Materiais sólidos tendem a deformar-se (ou eventualmente se romper) quando submetidos a
solicitações mecânicas. A Resistência dos Materiais é um ramo da Engenharia que tem como objetivo
o estudo do comportamento de elementos construtivos sujeitos a esforços, de forma que eles
possam ser adequadamente dimensionados para suportá-los nas condições previstas de utilização.
Observe:
I. Tração. II. Compressão. III. Flexão. IV. Torção. V. Flambagem. VI. Cisalhamento.
Associe o tipo de esforço ao qual o elemento construtivo está sendo submetido com sua representação
gráfica e assinale a alternativa correta.
I. Tração. II. Compressão. III. Flexão. IV. Torção. V. Flambagem. VI. Cisalhamento.
Associe o tipo de esforço ao qual o elemento construtivo está sendo submetido com sua representação
gráfica e assinale a alternativa correta.Provas
Questão presente nas seguintes provas
A denominação dada a um pequeno telhado, conforme circulado na Figura A e representado na
Figura B, sobreposto às cumeeiras, propiciando ventilação, é


Provas
Questão presente nas seguintes provas
Um dos elementos construtivos muito estudado é a “Tesoura” (viga em treliça plana vertical, com
formato triangular) demonstrada na figura a seguir:
Assinale a alternativa que, em ordem crescente, indica os elementos que a compõem.
Assinale a alternativa que, em ordem crescente, indica os elementos que a compõem.
Provas
Questão presente nas seguintes provas
De acordo com o manual do DNIT IPR –
719 (2006) “Manual de Pavimentação”,
qual material é representado pela figura a
seguir?


Provas
Questão presente nas seguintes provas
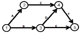
A figura a seguir ilustra uma rede PERT/CPM
de determinado projeto, cujas atividades
são representadas pelas letras de A a F.
Com base nessa figura e nos dados da
tabela apresentados em seguida, assinale a
alternativa correta.

Atividade ----- Duração (dias corridos) A --------------------- 10 B --------------------- 20 C --------------------- 10 D --------------------- 10 E --------------------- 20 F --------------------- 10

Atividade ----- Duração (dias corridos) A --------------------- 10 B --------------------- 20 C --------------------- 10 D --------------------- 10 E --------------------- 20 F --------------------- 10
Provas
Questão presente nas seguintes provas
Responda a questão utilizando a figura a seguir:

Provas
Questão presente nas seguintes provas
Responda a questão utilizando a figura a seguir:

Provas
Questão presente nas seguintes provas
Observe as duas figuras a seguir e assinale
a alternativa que apresenta corretamente o
nome de cada tipo de fundação.


Provas
Questão presente nas seguintes provas
Sobre “fundações” utilizadas na construção
civil, é correto afirmar que
Provas
Questão presente nas seguintes provas
Cadernos
Caderno Container