Foram encontradas 30 questões.
Na figura, ABCD é um quadrado de lado 2√5, M é ponto médio do lado
e
é perpendicular a ![]()

Com base nas informações, qual é a medida da área do triângulo APM?
Provas
Questão presente nas seguintes provas
Um fazendeiro comprou um terreno em forma de quadrilátero, como mostra a figura. Todas as medidas dos lados do
terreno estão descritas em hectômetros.
Ele deseja destinar uma parte do terreno para construir uma horta e, para isso, separa a área compreendida pelo triângulo ACD. Qual é a medida dessa área em hm2 ?
Ele deseja destinar uma parte do terreno para construir uma horta e, para isso, separa a área compreendida pelo triângulo ACD. Qual é a medida dessa área em hm2 ?
Provas
Questão presente nas seguintes provas
Em um plano, Marcela marcou 12 pontos de forma que 6 deles são colineares, como mostra a figura.
Ela pretende formar triângulos tomando os pontos como vértices. Com base nisso, quantos triângulos, no máximo, Marcela conseguirá formar?
Ela pretende formar triângulos tomando os pontos como vértices. Com base nisso, quantos triângulos, no máximo, Marcela conseguirá formar?
Provas
Questão presente nas seguintes provas
A área total de um cone de revolução é 192π cm2
. Na sua base, foi inscrito um hexágono regular de 8 cm de lado.
Qual a medida do volume da pirâmide de base hexagonal inscrita nesse cone de revolução?
Qual a medida do volume da pirâmide de base hexagonal inscrita nesse cone de revolução?
Provas
Questão presente nas seguintes provas
Seja λ uma circunferência de equação x² + y² - 10x + 8y + 16 = 0 de centro C, e a reta t que passa pelos pontos A(5, 1) e
B(k, p) pertencentes à λ. Sabe-se que t tem coeficiente angular igual a 2. Assim, a área do triângulo formado A, B e C é igual
a
Provas
Questão presente nas seguintes provas
Numa escola municipal, foi realizada uma enquete com os alunos sobre preferências de alimentos envolvendo peixe,
picadinho e frango. O resultado encontra-se na tabela.
Ao escolher um aluno ao acaso, a probabilidade de ele gostar apenas de um dos alimentos é, aproximadamente, de
Ao escolher um aluno ao acaso, a probabilidade de ele gostar apenas de um dos alimentos é, aproximadamente, de
Provas
Questão presente nas seguintes provas
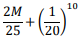
Um cavalo de 1 ano de idade tem aproximadamente 8% do peso de sua mãe. A partir daí seu peso aumenta uma razão de
1/20 por mês. Se sua mãe tem peso M, qual o peso desse cavalo após 10 meses?
Provas
Questão presente nas seguintes provas
Numa fábrica há um total de 180 funcionários, sendo que 95% são homens, evidenciando uma grande diferença do número
de homens para o número de mulheres. A fábrica decidiu implementar uma política para aumentar a quantidade de mulheres, porém sem alterar a quantidade de funcionários. A meta inicial é alcançar 40% de mulheres e, para isso, foi proposta uma redução do número de homens por meio de uma redistribuição para filiais dessa fábrica. Dessa maneira, a diferença entre o número de homens e o número de mulheres passaria a ser igual a
Provas
Questão presente nas seguintes provas
Para orientar o ensino da Matemática no ensino fundamental, A Base Nacional Comum Curricular (BNCC) traz como foco o
ensino baseado em competências, habilidades e metodologias inovadoras, incluindo práticas investigativas e o uso de
tecnologias digitais. Considerando essas orientações, analise as assertivas a seguir:
I. Letramento matemático é definido como as competências e habilidades de raciocinar, representar, comunicar e argumentar matematicamente, de modo a favorecer o estabelecimento de conjecturas, a formulação e a resolução de problemas garantindo, assim, o principal objetivo que é o progresso e acesso dos estudantes ao Ensino Superior.
II. Uma das competências da área de Matemática é utilizar processos e ferramentas matemáticas, inclusive tecnologias digitais disponíveis, para modelar e resolver problemas cotidianos, sociais e de outras áreas de conhecimento, validando estratégias e resultados.
III. No processo da construção da noção de número, os alunos precisam desenvolver, entre outras, as ideias de aproximação, proporcionalidade, equivalência, congruência e ordem, noções fundamentais da Matemática. Para essa construção, é importante propor, por meio de situações significativas, sucessivas ampliações dos campos numéricos.
IV. A aprendizagem de Álgebra, como também aquelas relacionadas a Números, Geometria e Probabilidade e estatística, podem contribuir para o desenvolvimento do pensamento computacional dos alunos, tendo em vista que eles precisam ser capazes de traduzir uma situação dada em outras linguagens, como transformar situações-problema, apresentadas em língua materna, em fórmulas, tabelas e gráficos e vice-versa.
V. A BNCC leva em conta que os diferentes campos que compõem a Matemática reúnem um conjunto de ideias fundamentais que produzem articulações entre eles: equivalência, ordem, proporcionalidade, interdependência, representação, variação e aproximação. Essas ideias fundamentais são importantes para o desenvolvimento do pensamento matemático dos alunos e devem se converter, na escola, em objetos de conhecimento.
Quantas afirmativas estão corretas?
I. Letramento matemático é definido como as competências e habilidades de raciocinar, representar, comunicar e argumentar matematicamente, de modo a favorecer o estabelecimento de conjecturas, a formulação e a resolução de problemas garantindo, assim, o principal objetivo que é o progresso e acesso dos estudantes ao Ensino Superior.
II. Uma das competências da área de Matemática é utilizar processos e ferramentas matemáticas, inclusive tecnologias digitais disponíveis, para modelar e resolver problemas cotidianos, sociais e de outras áreas de conhecimento, validando estratégias e resultados.
III. No processo da construção da noção de número, os alunos precisam desenvolver, entre outras, as ideias de aproximação, proporcionalidade, equivalência, congruência e ordem, noções fundamentais da Matemática. Para essa construção, é importante propor, por meio de situações significativas, sucessivas ampliações dos campos numéricos.
IV. A aprendizagem de Álgebra, como também aquelas relacionadas a Números, Geometria e Probabilidade e estatística, podem contribuir para o desenvolvimento do pensamento computacional dos alunos, tendo em vista que eles precisam ser capazes de traduzir uma situação dada em outras linguagens, como transformar situações-problema, apresentadas em língua materna, em fórmulas, tabelas e gráficos e vice-versa.
V. A BNCC leva em conta que os diferentes campos que compõem a Matemática reúnem um conjunto de ideias fundamentais que produzem articulações entre eles: equivalência, ordem, proporcionalidade, interdependência, representação, variação e aproximação. Essas ideias fundamentais são importantes para o desenvolvimento do pensamento matemático dos alunos e devem se converter, na escola, em objetos de conhecimento.
Quantas afirmativas estão corretas?
Provas
Questão presente nas seguintes provas
Qual é o algarismo das unidades do resultado de 32025 +72026?
Provas
Questão presente nas seguintes provas
Cadernos
Caderno Container