Foram encontradas 206 questões.
- Estatística DescritivaMedidas de Tendência CentralMédiasMédia AritméticaMédia Ponderada (Agrupados por Valor)
Em um colégio, a nota final do aluno é a média ponderada de suas quatro notas bimestrais, sendo que a nota do 1o bimestre tem peso 1 e as dos outros três bimestres têm peso 2. Nesse colégio, qual é a nota final em Geografia do aluno que obteve 6,5 no 1o bimestre, 6,5 no 2o bimestre, 8,0 no 3o bimestre e 8,5 no 4o bimestre?
Provas
A área de um quadrado inscrito num círculo de 7cm de raio é:
Provas
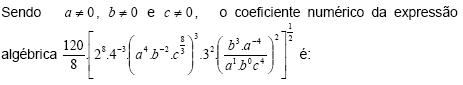
:
Provas
O número 310 está dividido em três parcelas de tal maneira que a segunda parcela é igual a
da primeira e a terceira é igual a
da segunda. Qual é o valor da menor das parcelas?
Provas

Provas
- GeometriaGeometria AnalíticaEquação da RetaPosições relativas de duas retas
- GeometriaGeometria PlanaTriângulosTriângulos RetângulosTeorema de Pitágoras
Em um mapa, as cidades A, B e C são os vértices de um triângulo retângulo, e o ângulo reto está em A. A estrada AB tem 80 km e a estrada BC tem 100 km. Um rio impede a construção de uma estrada que ligue diretamente a cidade A com a cidade C. Por esse motivo, projetou-se uma estrada saindo da cidade A e perpendicular à estrada BC, para que ela seja a mais curta possível. Qual será o comprimento da estrada que a ser construída?
Provas
Duas árvores localizam-se em lados opostos de um lago. O ângulo entre as linhas de visão de um observador que as vê é 120o , e o ângulo formado por uma dessas linhas e a linha que une as árvores é de 45o . Sabendo que uma dessas árvores está a 100 m do observador, determine a distância (d) entre as árvores.


Provas
O conjunto verdade da equação
é:
Provas
Na figura abaixo, as retas r, s e t são paralelas. Então o valor de x é:

Provas
- FundamentosOperações FundamentaisAdição
- FundamentosOperações FundamentaisMultiplicação
- Análise CombinatóriaFatorial
Quantos múltiplos de 7 existem entre 12 e 864?
Provas
Caderno Container