Magna Concursos

Foram encontradas 40 questões.

3092088 Ano: 2023
Disciplina: História
Banca: Darwin
Orgão: Pref. Lagoa Itaenga-PE
Provas:
Foi o primeiro Presidente eleito pelo voto popular depois de 25 anos de regime de exceção:
 

Provas

Questão presente nas seguintes provas
3092087 Ano: 2023
Disciplina: História
Banca: Darwin
Orgão: Pref. Lagoa Itaenga-PE
Provas:
É um espaço cultural pernambucano:
 

Provas

Questão presente nas seguintes provas
3092084 Ano: 2023
Disciplina: Geografia
Banca: Darwin
Orgão: Pref. Lagoa Itaenga-PE
Provas:
Já foi capital da Nova Holanda no Brasil:
 

Provas

Questão presente nas seguintes provas
3091995 Ano: 2023
Disciplina: Literatura Brasileira e Estrangeira
Banca: Darwin
Orgão: Pref. Lagoa Itaenga-PE
Provas:
“Vou-me Embora pra Pasárgada Vou-me embora pra Pasárgada Lá sou amigo do rei Lá tenho a mulher que eu quero Na cama que escolherei...”

Este é um poema de:
 

Provas

Questão presente nas seguintes provas
3091982 Ano: 2023
Disciplina: Raciocínio Lógico
Banca: Darwin
Orgão: Pref. Lagoa Itaenga-PE
Provas:
Os pais de Letícia realizaram um desejo de fazer um cruzeiro. Sérgio, o pai de Letícia, é professor de Matemática e, ao chegar de viagem, lançou um desafio para sua filha: “Os participantes de um cruzeiro, que navegam em um navio com capacidade máxima para 2.500 passageiros, podem ser divididos em grupos com 7, 11, 33 e 70 pessoas, de modo que, em cada divisão, ninguém fique sem grupo. O número de participantes desse cruzeiro é:”. Se Letícia acertou a resposta, ela encontrou:
 

Provas

Questão presente nas seguintes provas
3091981 Ano: 2023
Disciplina: Matemática
Banca: Darwin
Orgão: Pref. Lagoa Itaenga-PE
Provas:
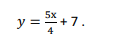
Existe uma relação entre o tamanho do pé de uma pessoa, medido em centímetros, e o número do sapato que ela calça. Se chamarmos o número do sapato de y e o tamanho do pé de x, a fórmula que relacionará, aproximadamente, essas duas grandezas é


Enunciado 3377897-1



Se uma pessoa tem um pé com o tamanho 28,8cm, o número do seu sapato á:
 

Provas

Questão presente nas seguintes provas
3091980 Ano: 2023
Disciplina: Raciocínio Lógico
Banca: Darwin
Orgão: Pref. Lagoa Itaenga-PE
Provas:
Três navios atracaram juntos no porto de SUAPE no dia 10 de agosto de 2023. O primeiro atraca nesse porto a cada 6 dias; o segundo, a cada 7 dias, e o terceiro, a cada 14 dias. Sabendo que o mês de agosto tem 31 dias e o de setembro tem 30, os três navios encontraram-se novamente no porto de SUAPE no dia:
 

Provas

Questão presente nas seguintes provas
3091979 Ano: 2023
Disciplina: Estatística
Banca: Darwin
Orgão: Pref. Lagoa Itaenga-PE
Provas:
Nas eleições realizadas em 1° turno em todo o país no dia 5 de outubro de 2014, observou-se numa determinada secção eleitoral que cinco eleitores demoraram para votar, respectivamente: 1min04s, 1min32s, 1min12s, 1min52s e 1min40s. A média aritmética do tempo de votação (em minutos e segundos) desses eleitores é:
 

Provas

Questão presente nas seguintes provas
3091978 Ano: 2023
Disciplina: Matemática
Banca: Darwin
Orgão: Pref. Lagoa Itaenga-PE
Provas:
Numa gincana promovida por um colégio, os alunos teriam que responder perguntas sobre assuntos que foram matéria nos jornais e também sobre os assuntos apresentados em sala de aula. A pergunta sorteada para o 9° ano A foi a seguinte: “Qual o polígono convexo cujo número de diagonais é igual ao dobro do número de lados?”. Os alunos da equipe do 9° ano A responderam corretamente, então a resposta foi:
 

Provas

Questão presente nas seguintes provas
3091977 Ano: 2023
Disciplina: Matemática Financeira
Banca: Darwin
Orgão: Pref. Lagoa Itaenga-PE
Provas:
Com a chegada do fim do ano pensamos logo nas festividades do Natal e do Ano Novo. Principalmente em casas que tenham crianças, pensa-se muito em presentes do “Bom Velhinho”. É o caso de D.Ana que tem um neto, Luis Fernando. Luis pediu a sua avó, se fosse possível, dois jogos para o PS4 ou um helicóptero com controle remoto. D. Ana foi ao Shopping Center e comprou os dois jogos e o helicóptero em lojas diferentes. Os dois jogos ela comprou em seis parcelas de R$83,30 e o helicóptero em oito parcelas de R$87,48. Qual o valor total dos presentes de Luis Fernando?
 

Provas

Questão presente nas seguintes provas