Foram encontradas 40 questões.
Victor foi andar de bicicleta depois de fazer as
tarefas e estudar. Enquanto pedalava na sua
bicicleta, começou a se lembrar das aulas de
matemática e do que tinha estudado. Decidiu,
então, verificar qual era o comprimento da roda de
sua bicicleta a partir do que estudou nas aulas de
Geometria Plana. Mediu o raio e encontrou 30cm.
Fez uma marcação na roda e deu uma volta
completa.

Utilizando π = 3,14 , qual foi o valor aproximado que Victor encontrou, em metros?

Utilizando π = 3,14 , qual foi o valor aproximado que Victor encontrou, em metros?
Provas
Questão presente nas seguintes provas
O conceito de número complexo se desenvolveu
gradativamente, como ocorreu com os demais tipos
de números. Algumas equações do 2° grau, como x2 + 1 = 0
não haviam solução até o século XVI, pois
para os matemáticos da época a raiz quadrada de
números negativos não existia. Porém, não foi este o
motivo pelo qual os números complexos surgiram.
Ao passar dos anos, alguns matemáticos viram o
mesmo problema para equações do 3° grau, onde
que se percebeu que os números reais não eram
suficientes para resolver este tipo de equação.
Encontre as raízes quadradas de
z = −1.
Provas
Questão presente nas seguintes provas
Considere a equação algébrica abaixo.
x5 - x4 + 3x3 - 3x2 - 4x+ 4 = 0
Em relação as suas raízes podemos afirmar que:
Provas
Questão presente nas seguintes provas
3099079
Ano: 2023
Disciplina: Matemática Financeira
Banca: Darwin
Orgão: Pref. Lagoa Itaenga-PE
Disciplina: Matemática Financeira
Banca: Darwin
Orgão: Pref. Lagoa Itaenga-PE
Provas:
Carlos foi demitido da empresa multinacional em
que trabalhava. Os direitos trabalhistas e o FGTS de
Carlos totalizaram R$60.000,00. Ele resolveu aplicar
a indenização recebida, por três anos, a uma taxa de
15% ao ano. Qual o montante de Carlos ao final da
aplicação? (use
( 1,15 )3 = 1,52 ).
Provas
Questão presente nas seguintes provas
3099078
Ano: 2023
Disciplina: Matemática Financeira
Banca: Darwin
Orgão: Pref. Lagoa Itaenga-PE
Disciplina: Matemática Financeira
Banca: Darwin
Orgão: Pref. Lagoa Itaenga-PE
Provas:
O Banco do Brasil, nos seus caixas eletrônicos,
nos dá escolhas para saques. O Sr. Sérgio foi até o
caixa eletrônico do Banco do Brasil para efetuar um
saque de R$680,00. Ele recebeu um total de 22
cédulas, sendo algumas de R$50,00 e outras de
R$20,00. O número de cédulas de R$20,00 que o
professor Sérgio recebeu foi:
Provas
Questão presente nas seguintes provas
O volume de água reservado para uso doméstico
deve ser, no mínimo, o necessário para 24 horas de
consumo normal pelo número total de usuários na
edificação, sem considerar, o volume de água para
combate à incêndio. Por exemplo, se estiver sendo
projetado um reservatório de água para um
apartamento, por padrão, adota-se o consumo de
água de 200 litros por pessoa por dia. Uma empresa
de engenharia construiu dois edifícios com dez
andares cada edifício e sendo quatro apartamentos
por andar. No projeto a cisterna foi projetada com
448.000 litros de água além do volume estimado
acima. Se a cisterna terá a forma de um cubo, qual é
o comprimento da aresta desse cubo?
Provas
Questão presente nas seguintes provas
Com a finalidade de arrecadar dinheiros para
melhorias da escola a diretora pensou em fazer um
sorteio de uma bicicleta doada por uma empresa.
Um dos professores de Matemática da escola
sugeriu vender bilhetes contendo os anagramas da
palavra MATEMÁTICA. Todos aceitaram a sugestão.
Sendo assim, qual o total de bilhetes vendidos?
Provas
Questão presente nas seguintes provas
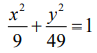
Um certo país laçou um satélite para observar as
explosões solares. A orbita deste satélite descreve
uma elipse. Considerando um sistema de
coordenadas podemos colocar o centro desta elipse
na origem do sistema e um dos vértices tem
coordenadas
(0,7)
e está localizado sobre a reta
determinada pelo foco da elipse. Sabendo que a
elipse passa pelo ponto de coordenadas ( √5 , - 14 / 3) , encontre a equação da elipse.
Provas
Questão presente nas seguintes provas
Considere a função f: ℝ → ℝ definida por
f(x) = x
4 − x
2 + 1. Encontre a equação da reta
tangente ao gráfico da função
f
no ponto de
abscissa igual a 1.
Provas
Questão presente nas seguintes provas
Próximo à casa onde mora, Fernando observou que
no prédio que estava sendo construído tinham colocado
uma rampa para retirada de entulhos do segundo andar
do edifício. Como é aluno do Curso de Engenharia Civil
e gostando de Matemática, ele foi até a obra e obteve a
informações que a rampa forma um ângulo de
inclinação de 30° com o chão e que o topo da rampa
está a uma altura de 6m do chão, conforme a figura
abaixo.

A partir das informações obtidas por Fernando, qual o comprimento da rampa, em metros?

A partir das informações obtidas por Fernando, qual o comprimento da rampa, em metros?
Provas
Questão presente nas seguintes provas
Cadernos
Caderno Container