Foram encontradas 50 questões.
Quantas são as soluções inteiras e não negativas da inequação x + y + z + w < 6?
Provas
Considere duas moedas que foram cunhadas com um viés, de modo que um dos seus resultados e mais provável que o outro. Nessas moedas, a probabilidade de se obter “cara” em um lançamento e o quadruplo da probabilidade de se obter “coroa”. Com base nessas informações, determine a probabilidade de, no lançamento simultâneo das duas moedas, ocorrer uma cara e uma coroa (em qualquer ordem).
Provas
Seja P uma medida de probabilidade definida sobre os eventos (subconjuntos) de um espaço amostral Ω. Considere X e Y como eventos mensuráveis em Ω, tais que P(X) = 4/25 e P(Y ) = 1/100.
É correto afirmar que:
Provas
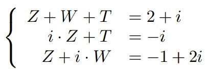
Considere Z, W e T números complexos que satisfazem o sistema de equações

Determine o valor 3/2 W + 1/2 T - Z.
Provas
Dado um quadrado ABCD, seja E o ponto médio do lado BC. Determine o valor da tangente do ângulo CÂE, formado entre a diagonal AC e o segmento AE.

Provas
Determine todos os valores reais de K para os quais a equação

tenha solução real x.
Provas
Denotando por Cn,p como sendo a combinação de n elementos tomado p a p, determine o valor da expressao

Provas
Em um triangulo com ângulos α, β e γ, suponha que a seguinte identidade seja valida:

É correto afirmar:
Provas
Se f, g : R → R são funções reais, considere as afirmações:
I. Se f e g são injetoras, então f + g é injetora.
II. Se f e g não são injetoras, podemos ter f + g injetora.
III. Se f e g não são sobrejetoras, então f + g não é sobrejetora.
IV. Se f é sobrejetora, existe uma função h : R → R tal que f(h(x)) = x para todo x ∈ R
V. Se f é injetiva, existe uma função h : R → R tal que f(h(x)) = x para todo x ∈ R
Assinale a alternativa correta:
Provas
Qual o numero de soluções reais para a equação 2x 4 − 3x|x| + 1 = 0?
Provas
Caderno Container