Foram encontradas 20 questões.
A planificação da superfície lateral de um cone reto é um
setor circular de raio x cm e ângulo central igual a 120º. Se a área
total desse cone é igual a 16 π cm², então o triplo do volume desse
sólido, em cm³, corresponde a:
Provas
Questão presente nas seguintes provas
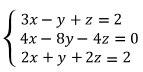
Considere o seguinte sistema linear:

Ao aplicar as técnicas de solução de sistemas desse tipo, é possível concluir corretamente que esse sistema é:
Provas
Questão presente nas seguintes provas
3961285
Ano: 2025
Disciplina: Matemática Financeira
Banca: SELECON
Orgão: Pref. Lucas Rio Verde-MT
Disciplina: Matemática Financeira
Banca: SELECON
Orgão: Pref. Lucas Rio Verde-MT
Provas:
Claúdio dividiu o capital de 20.000 reais em duas partes e
aplicou ambas a juros simples. Uma dessas partes foi aplicada à
taxa de 2% ao mês durante 8 meses, e a outra parte foi aplicada
à taxa de 5% ao mês durante 1 semestre. Se os juros totais,
provenientes das duas aplicações, correspondeu a 4.236 reais,
então a maior dessas duas partes, em reais, é igual a:
Provas
Questão presente nas seguintes provas
O número N = 3×10⁵ + 4×10⁴ + 5×10³ + 2×10² + a×10 + 3,
é divisível por 11 e a é um algarismo. O resto da divisão de N
por 13 é:
Provas
Questão presente nas seguintes provas
Um aluno representou o número 1 como a soma de duas
frações, empregando todos os algarismos de 0 inclusive a 9
inclusive, uma única vez cada um. Se uma das frações é 35/70,
então a soma dos algarismos do número que representa o
denominador da outra fração, em qualquer uma das frações
possíveis, é igual a N. O valor de N é:
Provas
Questão presente nas seguintes provas
Um professor de Matemática tem uma coleção de livros
formada por onze volumes, numerados de 1 a 11. Certo dia,
esse professor coloca ao acaso todos os livros dessa coleção em
uma prateleira, um ao lado do outro. A probabilidade de que os
volumes 1 e 2 tenham ficado juntos e os volumes 10 e 11 tenham
ficado separados é de:
Provas
Questão presente nas seguintes provas
Seja N = (5!)⁵!. A quantidade de divisores positivos de N é:
Provas
Questão presente nas seguintes provas
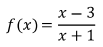
Considere a função
![]()
A raiz da equação ![]()
Provas
Questão presente nas seguintes provas
Os lados de um triângulo medem a = 8 cm, b = 10 cm e c
= 12 cm. A medida da altura relativa ao lado b, em centímetros,
corresponde a:
Provas
Questão presente nas seguintes provas
O polinômio x³ + ax² + bx + 1 será divisível por x² - 3x + 2 se
2a + 6b for igual a:
Provas
Questão presente nas seguintes provas
Cadernos
Caderno Container