Foram encontradas 50 questões.
Qual alternativa apresenta dois protocolos de segurança projetados para fornecer segurança nas
comunicações em uma rede de computadores?
Provas
Questão presente nas seguintes provas
A respeito dos periféricos, qual dispositivo de entrada utiliza, basicamente, um sensor tátil (que reage ao
ser tocado) para transformar o toque em comandos no notebook?
Provas
Questão presente nas seguintes provas
No Windows 10, há um comando no prompt de comando que permite agendar comandos e programas para
execução periódica ou em momentos específicos. Além disso, esse comando possibilita: a adição e a remoção
de tarefas do agendamento; o início e a interrupção sob demanda; a exibição e a alteração de tarefas
agendadas. Qual é o comando específico para essa funcionalidade?
Provas
Questão presente nas seguintes provas
No Microsoft Word 2016, a guia “Página Inicial” é fundamental para diversas tarefas de formatação. Qual
alternativa apresenta dois “grupos” dessa guia?
Provas
Questão presente nas seguintes provas
Quais atalhos de teclado do Google Chrome, quando utilizado o sistema operacional Windows, servem
respectivamente para “abrir o Gerenciador de favoritos” e “abrir um link em uma nova guia em segundo plano”?
Provas
Questão presente nas seguintes provas
De um grupo de 1.024 pessoas, 256 estavam com gripe em determinado dia. Qual é a porcentagem de
pessoas que estavam com gripe nesse dia?
Provas
Questão presente nas seguintes provas
Assinale a alternativa com o resultado CORRETO da soma a seguir.

Provas
Questão presente nas seguintes provas
Uma aplicação de R$ 75.000,00 gerou juros simples de R$ 30.000,00 depois de 10 meses. Qual foi a taxa
de juros dessa aplicação?
Provas
Questão presente nas seguintes provas
Hoje, Luizão está no nível 154 em seu jogo online. A cada 3 meses, Luizão sobe 16 níveis no seu jogo. Em
que nível Luizão estará daqui a 10 anos?
Provas
Questão presente nas seguintes provas
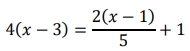
Assinale a alternativa que apresenta CORRETAMENTE o valor de x que satisfaz a equação a seguir.

Provas
Questão presente nas seguintes provas
Cadernos
Caderno Container