Magna Concursos

Foram encontradas 115 questões.

1544154 Ano: 2006
Disciplina: Matemática
Banca: FAPESE
Orgão: Pref. Neópolis-SE
Provas:

Considere as somas:

1+ 3= 4

1+3+5=9

1+3+5+7=16

1+3+5+7+9=25

Podemos então afirmar que:

1+ 3 + 5 + ........ +199 é :

 

Provas

Questão presente nas seguintes provas
1544153 Ano: 2006
Disciplina: Matemática
Banca: FAPESE
Orgão: Pref. Neópolis-SE
Provas:

O resto da divisão de 20072007 por 2 é:

 

Provas

Questão presente nas seguintes provas
1544152 Ano: 2006
Disciplina: Matemática
Banca: FAPESE
Orgão: Pref. Neópolis-SE
Provas:

A diferença entre os quadrados de dois números inteiros positivos consecutivos é sempre:

 

Provas

Questão presente nas seguintes provas
1544151 Ano: 2006
Disciplina: Matemática Financeira
Banca: FAPESE
Orgão: Pref. Neópolis-SE
Provas:

Dois carros foram vendidos por preços iguais. Um, com lucro de 30% sobre o preço de compra, e outro, com prejuízo de 20% sobre o preço de compra. Podemos afirmar que houve, em relação ao capital investido:

 

Provas

Questão presente nas seguintes provas
1544150 Ano: 2006
Disciplina: Matemática
Banca: FAPESE
Orgão: Pref. Neópolis-SE
Provas:

O ângulo que o ponteiro das horas de um relógio descreve em 36 minutos é:

 

Provas

Questão presente nas seguintes provas
1544149 Ano: 2006
Disciplina: Matemática
Banca: FAPESE
Orgão: Pref. Neópolis-SE
Provas:

Um minério de ferro em estado bruto dá 38% de seu peso de metal puro. O peso de ferro puro que devemos ter em 4540 m3 de minério, sabendo-se que 1 dm3 do minério pesa 2,7 kg é:

 

Provas

Questão presente nas seguintes provas
1544148 Ano: 2006
Disciplina: Matemática
Banca: FAPESE
Orgão: Pref. Neópolis-SE
Provas:

A soma dos dois últimos números primos entre 1 e 100 é:

 

Provas

Questão presente nas seguintes provas
1544147 Ano: 2006
Disciplina: Matemática
Banca: FAPESE
Orgão: Pref. Neópolis-SE
Provas:

O valor de m para que a equação 8x2 - (m -1)x + m - 7 = 0 tenha raízes inversas (em relação a multiplicação) é:

 

Provas

Questão presente nas seguintes provas
1544146 Ano: 2006
Disciplina: Matemática
Banca: FAPESE
Orgão: Pref. Neópolis-SE
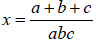
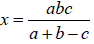
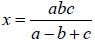
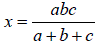
Provas:

Sejam a , b e c números reais positivos. Resolvendo a equação enunciado 1544146-1 em relação a x, encontramos o valor:

 

Provas

Questão presente nas seguintes provas
1544145 Ano: 2006
Disciplina: Português
Banca: FAPESE
Orgão: Pref. Neópolis-SE
Provas:
Ela tem alma de pomba
Rubem Braga
Que a televisão prejudica o movimento da pracinha Jerônimo Monteiro, em todos os Cachoeiros de Itapemirim, não há dúvidas.
Sete horas da noite era hora de uma pessoa acabar de jantar, dar uma volta pela praça para depois pegar a sessão das 8 no cinema.
Agora todo mundo fica em casa vendo uma novela, depois outra novela.
O futebol também pode ser prejudicado. Quem vai ver um jogo do Canhoeiro F.C. com o Estrela do Norte F.C., se pode ficar tomando cervejinha e assistindo a um bom Fla-Flu, ou a um Internacional X Cruzeiro, ou qualquer coisa assim?
Que a televisão prejudica a leitura de livros, também não há dúvida. Eu mesmo confesso que lia mais quando não tinha televisão.
Rádio, a gente pode ouvir baixinho, enquanto está lendo um livro. Televisão é incompatível com livro – e com tudo mais nesta vida, inclusive a boa conversa...
Também acho que a televisão paralisa a criança numa cadeira mais que o desejável. O menino fica ali parado, vendo e ouvindo, em vez de sair por aí, chutar uma bola, brincar de bandido, inventar uma besteira qualquer para fazer. Por exemplo, quebrar o braço.
Só não acredito que televisão seja “máquina de fazer doido”.
Até acho que é o contrário, ou quase o contrário: é máquina de amansar doido, distrair doido, acalmar, fazer o doido dormir.
Quando você cita um inconveniente da televisão, uma boa observação que se pode fazer é que não existe nenhum aparelho de TV, em cores ou em preto e branco, sem um botão para desligar.
Mas quando um pai de família o utiliza, isso pode produzir o ódio e rancor no peito das crianças, e até de outros adultos. Se o apartamento é pequeno, a família é grande, e a TV é só uma, então sua tendência é para ser um fator de rixas intestinas.
- Agora, você se agarra nessa porcaria de futebol...
- Mas, francamente, você não tem vergonha de acompanhar essa besteira dessa novela?
- Não sou eu não, são as crianças!
- Crianças, para a cama!
Mas muito lhe será perdoado, à TV, pela sua ajuda aos doentes, aos velhos, aos solitários. Na grande cidade – num apartamentinho de quarto e sala, num casebre de subúrbio, numa orgulhosa mansão a criatura solitária tem nela a grande distração, o grande consolo, a grande companhia. Ela instala dentro de sua toca humilde o tumulto e o frêmito de mil vidas, a emoção, o suspense, a fascinação dos dramas do mundo.
A corujinha da madrugada não é apenas a companheira de gente importante, é a grande amiga da pessoa desimportante e só, da mulher velha, do homem doente... É a amiga dos entrevados, dos abandonados, dos que a vida esqueceu para um canto... ou dos que estão parados, paralisados no estupor de alguma desgraça... ou que no meio da noite sofrem o assalto de dúvidas e melancolias... mãe que espera filho, mulher que espera marido... homem arrasado que espera que a noite passe, que a noite passe, que a noite passe...

Identifique a alternativa que contém um verbo irregular da terceira conjugação:

 

Provas

Questão presente nas seguintes provas