Foram encontradas 379 questões.
Uma bicicleta na Loja Pedalar custa R$ 500,00. No mês de novembro ela recebeu um desconto de
10% e após o sucesso das vendas ela recebeu mais um desconto de 5%. Qual será o preço da
bicicleta após os dois descontos sucessivos?
Provas
Questão presente nas seguintes provas
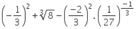
Determine o resultado da expressão numérica e assinale a alternativa correta:

Provas
Questão presente nas seguintes provas
3299015
Ano: 2024
Disciplina: Matemática Financeira
Banca: Instituto JK
Orgão: Pref. Nina Rodrigues-MA
Disciplina: Matemática Financeira
Banca: Instituto JK
Orgão: Pref. Nina Rodrigues-MA
Provas:
Yuri fez um empréstimo de R$ 20.000,00 no regime de juros compostos. Se a taxa cobrada foi 5%
ao mês, quanto ele deverá pagar para liquidar a dívida após 2 meses?
Provas
Questão presente nas seguintes provas
3299014
Ano: 2024
Disciplina: Raciocínio Lógico
Banca: Instituto JK
Orgão: Pref. Nina Rodrigues-MA
Disciplina: Raciocínio Lógico
Banca: Instituto JK
Orgão: Pref. Nina Rodrigues-MA
Provas:
Dados os conjuntos:
A = conjunto dos divisores naturais de 12.
B = conjunto dos divisores naturais de 15.
C = conjunto dos divisores naturais de 35.
Calcule (A U C)
B:
A = conjunto dos divisores naturais de 12.
B = conjunto dos divisores naturais de 15.
C = conjunto dos divisores naturais de 35.
Calcule (A U C)
Provas
Questão presente nas seguintes provas
Ah! Como o foco é impedir os delitos e não a emergência, os policiais militares passam dicas de
segurança.
O termo “Ah!” classifica-se como:
O termo “Ah!” classifica-se como:
Provas
Questão presente nas seguintes provas
Assinale a alternativa que apresenta a correta divisão silábica das palavras:
amuado, abacateiro, hiperativo e depressão.
amuado, abacateiro, hiperativo e depressão.
Provas
Questão presente nas seguintes provas
A professora Marisa decidiu se aposentar e redigiu, um requerimento ao governador do estado
para pedir sua aposentadoria. Assinale o pronome de tratamento que a professora teve de utilizar
na invocação desse texto oficial.
Provas
Questão presente nas seguintes provas
Complete a frase adequadamente:
“Resta ainda descobrir o __________ dessas declarações.
Provas
Questão presente nas seguintes provas
Fernando levanta tão cedo quanto o seu pai”. O grau do adjetivo destacado na frase é:
Provas
Questão presente nas seguintes provas
Duas das orações abaixo têm o sujeito indeterminado.
I. Hoje faz dois dias que estou gripada.
II. Largaram-me numa praia deserta do rio Amazonas.
III. Tocaram a campainha?
IV. Com saudades, saí à procura do amigo.
Assinale-as:
I. Hoje faz dois dias que estou gripada.
II. Largaram-me numa praia deserta do rio Amazonas.
III. Tocaram a campainha?
IV. Com saudades, saí à procura do amigo.
Assinale-as:
Provas
Questão presente nas seguintes provas
Cadernos
Caderno Container