Foram encontradas 504 questões.
O maior número de retas definidas por 9 pontos, dos quais cinco são colineares, é:
Provas
O capital de R$ 80.000,00 aplicado à taxa de 84% ao ano a juros simples, rende em 3 meses a quantia de:
Provas
- GeometriaGeometria PlanaTriângulosMediana, Mediatriz, Bissetriz e Altura de Triângulos
- GeometriaGeometria PlanaTriângulosTriângulos RetângulosTeorema de Pitágoras
A diagonal de um retângulo mede 10cm e um de seus lados mede 6cm. A área desse retângulo em cm² é:
Provas
Sabe-se que o 5º termo de uma progressão aritmética é 18 e que sua razão é r = 7. O primeiro termo dessa progressão é:
Provas
Seja A = (a ) a matriz quadrada de 2ª ordem definida por a i j =
. O elemento que pertence à 1ª linha e à 2ª coluna da matriz A é:
Provas
Se 16X = 32, então x é igual a:
Provas
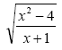
O domínio da função f(x) =
, com valores reais, é o conjunto:
Provas
Em um concurso para o cargo de Técnico em Manutenção de Computadores a prova apresentava apenas duas questões e sobre elas, após a correção, ficou-se sabendo que: 100 candidatos acertaram as duas questões; 170 candidatos acertaram a primeira questão; 100 candidatos acertaram apenas uma das questões; 95 candidatos erraram as duas questões. O número de candidatos que prestou o concurso foi de:
Provas
Leia com atenção o texto abaixo e responda às questões propostas

Na introdução do texto procurou-se destacar:
Provas
Disciplina: TI - Organização e Arquitetura dos Computadores
Banca: FEC
Orgão: Pref. Niterói-RJ
O dispositivo capaz de dissipar o calor produzido pelo processador é denominado:
Provas
Caderno Container