Foram encontradas 278 questões.
1999336
Ano: 2020
Disciplina: Raciocínio Lógico
Banca: AV MOREIRA
Orgão: Pref. Nossa Senhora Nazaré-PI
Disciplina: Raciocínio Lógico
Banca: AV MOREIRA
Orgão: Pref. Nossa Senhora Nazaré-PI
Provas:
Uma agência de viagens fez uma pesquisa para saber a preferência dos turistas entre
3 cidades: Milão, Roma e Assis. Foram entrevistadas 500 pessoas e foi constatado que:
• 255 pessoas disseram que iriam para Milão ou Roma;
• 20 pessoas só iriam para Assis;
• 200 pessoas iriam para as três cidades;
• 25 não iriam para nenhuma das três cidades;
• 240 pessoas iriam para Assis ou Milão.
É CORRETO afirmar que iriam somente para Roma ou Assis são:
• 255 pessoas disseram que iriam para Milão ou Roma;
• 20 pessoas só iriam para Assis;
• 200 pessoas iriam para as três cidades;
• 25 não iriam para nenhuma das três cidades;
• 240 pessoas iriam para Assis ou Milão.
É CORRETO afirmar que iriam somente para Roma ou Assis são:
Provas
Questão presente nas seguintes provas
1999335
Ano: 2020
Disciplina: Raciocínio Lógico
Banca: AV MOREIRA
Orgão: Pref. Nossa Senhora Nazaré-PI
Disciplina: Raciocínio Lógico
Banca: AV MOREIRA
Orgão: Pref. Nossa Senhora Nazaré-PI
Provas:
A piña colada é um coquetel que surgiu em Porto Rico, mas que se espalhou pelo
mundo. Sua versão tradicional é preparada com Rum, leite de coco, leite condensado e
abacaxi. Com base na ficha técnica desta bebida, as quantidades de leite condensado e
Rum utilizados em 2400 ml seriam respectivamente:


Provas
Questão presente nas seguintes provas
1999334
Ano: 2020
Disciplina: Matemática
Banca: AV MOREIRA
Orgão: Pref. Nossa Senhora Nazaré-PI
Disciplina: Matemática
Banca: AV MOREIRA
Orgão: Pref. Nossa Senhora Nazaré-PI
Provas:
O Tangram é um quebra cabeça Chinês formado por 7 peças, sendo: 2 triângulos
pequenos, 1 triângulo médio, 2 triângulos grandes, 1 quadrado, 1 paralelogramo. Sabe-se
que a partir do triângulo pequeno podemos formar cada um dos outros polígonos, da
seguinte forma:
Sabendo-se que a área do triângulo pequeno é 3 cm2 pode-se afirmar que área total do quebra-cabeça é de:
Sabendo-se que a área do triângulo pequeno é 3 cm2 pode-se afirmar que área total do quebra-cabeça é de:
Provas
Questão presente nas seguintes provas
Dada a matriz A =
. O valor de det A é:
Provas
Questão presente nas seguintes provas
No triângulo ABC, a medida do lado AC é de:

Provas
Questão presente nas seguintes provas
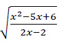
O domínio da função real f (x) =
é o conjunto:
Provas
Questão presente nas seguintes provas
Considere o triângulo formado pelo eixo das abscissas e as retas r e s. A área do triângulo é dada em unidades de área por:

Provas
Questão presente nas seguintes provas
1999329
Ano: 2020
Disciplina: Matemática
Banca: AV MOREIRA
Orgão: Pref. Nossa Senhora Nazaré-PI
Disciplina: Matemática
Banca: AV MOREIRA
Orgão: Pref. Nossa Senhora Nazaré-PI
Provas:
Para abrir seu negócio José teve de solicitar certa quantia em dinheiro junto a um banco.
O banco cedeu 20 mil reais que seriam pagos após 2 meses em regime de juros compostos.
Quanto o banco recebeu sabendo que a taxa da operação foi de 5% ao mês?
Provas
Questão presente nas seguintes provas
1999328
Ano: 2020
Disciplina: Matemática
Banca: AV MOREIRA
Orgão: Pref. Nossa Senhora Nazaré-PI
Disciplina: Matemática
Banca: AV MOREIRA
Orgão: Pref. Nossa Senhora Nazaré-PI
Provas:
Para melhor divertir-se em sua casa com sua família, Naldo adquiriu uma piscina. De
formato cilíndrico a piscina possui 4 metros de diâmetro em sua base e uma altura de um
metro e meio. Considerando π = 3,14 qual o volume aproximado desta piscina em m³?
Provas
Questão presente nas seguintes provas
1999327
Ano: 2020
Disciplina: Matemática
Banca: AV MOREIRA
Orgão: Pref. Nossa Senhora Nazaré-PI
Disciplina: Matemática
Banca: AV MOREIRA
Orgão: Pref. Nossa Senhora Nazaré-PI
Provas:
Uma propriedade com formato triangular passou por uma inspeção a fim de mensurar
a área que possuía. Verificou-se que se tratava de um triângulo retângulo de catetos de 40
e 30 m de comprimento. Para cortar gastos o proprietário resolveu vender 30% da área
total. Qual foi a área que restou em m²?
Provas
Questão presente nas seguintes provas
Cadernos
Caderno Container