Foram encontradas 60 questões.
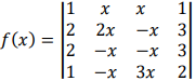
Considere a função real a seguir.

Então,
Provas
Analise o sistema linear a seguir.

Para que o sistema linear tenha solução, é necessário que
Provas
Provas
Provas
Observe a figura a seguir.

Considere um cilindro circular reto de base com raio R e altura H e um cone circular reto de base com raio R e altura H, cujo vértice coincide com o centro da base do cilindro, conforme imagem apresentada. A região hachurada na figura, em forma de coroa circular, é a parte da seção transversal perpendicular as alturas, compreendida entre o cilindro e cone, tomada a partir de uma altura h a partir da base do cilindro. A área da ragião hachurada é igual a:
Provas
Observe a figura a seguir.

Os ângulos a e c são
Provas
Provas
Provas
Provas
Provas
Caderno Container