Foram encontradas 339 questões.
I.A presença de alimentos e nutrientes no estômago ou no lúmen intestinal não alteram a absorção de um fármaco.
II.As alterações do pH do ácido gástrico, como acloridria ou hipocloridria, pode reduzir a absorção dos fármacos.
III.Vários mecanismos podem contribuir para a redução da velocidade ou extensão da absorção de fármacos na presença de alimentos e nutrientes.
Fonte: MAHAN L K eESCOTT-STUMP S. Krause - Alimentos, Nutrição e Dietoterapia. 14ª Edição, Ed. Elsevier, 2018.
É CORRETO o que se afirma em:
Provas
Com relação as áreas das Unidades de Alimentação e Nutrição, analise as afirmativas abaixo:
I.A conferência e os registros relativos à data de entrega, quantidade e padrão de qualidade das mercadorias devem ser realizados no setor de preparo dos alimentos.
II.O estoque é o local de armazenamento de produtos não perecíveis em temperatura ambiente. As mercadorias devem ser colocadas em paletes, prateleiras ou estrados feitos de material liso, resistente, impermeável e lavável.
III.A área de pré-preparo destina-se a acomodar atividades e procedimentos de manipulação de alimentos que ocorrem antes da etapa de cocção.
Fonte: Planejamento e organização de UAN. Tatiana Cristina Teixeira Eto. - Londrina: Editora e Distribuidora Educacional S.A., 2019. 168 p
É CORRETO o que se afirma em:
Provas
Paciente A. B. C, sexo masculino, 50 anos, diagnosticado com câncer de intestino, com peso habitual relatado de 70Kg, perdeu 10Kg nos últimos 3 meses.
Dentre as opções citadas abaixo, assinale a alternativa que corresponde a porcentagem e classificação da perda de peso do paciente.
Provas
Provas
Provas
I.É obrigatória a presença de estabilidade hemodinâmica para início da Terapia Nutricional Enteral.
II.As indicações para a nutrição enteral são quadro de choque, hipoxemia e acidose persistente, sangramento de trato gastrointestinal, conteúdo gástrico maior 500 ml em período de 6 horas, isquemia ou obstrução intestinal, síndrome compartimental abdominal e fístula de alto débito.
III.A dieta enteral pode se apresentar no sistema aberto e fechado. O sistema fechado exige manipulação e reconstituição com água ou outros módulos, pode ser preparado tanto no ambiente hospitalar como no domiciliar.
É CORRETO o que se afirma em:
Provas
I.O SISVAN consiste em um sistema de informação que tem como objetivo descrever e predizer de maneira contínua, tendências das condições de nutrição e alimentação de uma população, e seus fatores determinantes, com fins ao planejamento e avaliação dos efeitos de políticas, programas e intervenções.
II.O SISVAN envolve os aspectos relativos à promoção de práticas alimentares saudáveis e à prevenção e ao controle dos distúrbios alimentares e de doenças associadas à alimentação.
III.O SISVAN considera o estado nutricional de coletividades como resultante do desequilíbrio entre o consumo alimentar e a utilização biológico e sua estreita relação com o estado de saúde.
Fonte: https://www.saude.mg.gov.br
É CORRETO o que se afirma em:
Provas
Provas
Fonte: MAHAN L K e ESCOTT-STUMP S. Krause - Alimentos, Nutrição e Dietoterapia. 14ª Edição, Ed. Elsevier, 2018.
Nesse sentido, registre V para Verdadeiro, e F, para falso, no que se refere as necessidades nutricionais dos lactentes.
(__)As proteínas são necessárias para a substituição de tecido, a deposição de massa corporal magra e o crescimento. Sendo assim, as necessidades de proteínas durante o rápido crescimento da lactância são menores por quilograma de massa corporal do que aquelas para as crianças mais velhas ou adultos.
(__)A recomendação atual para lactentes com menos de um ano de idade é consumir, no mínimo, de 80 g de lipídeos por dia.
(__)Os carboidratos devem fornecer de 20 a 30% da ingestão de energia durante a lactância.
Assinale a alternativa com a sequência CORRETA.
Provas
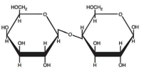
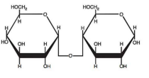
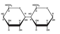
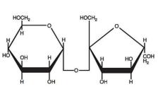
Os carboidratos são as moléculas orgânicas mais abundantes na natureza. São substâncias compostas por átomos de carbono (C), hidrogênio (H) e oxigênio (0), na proporção de 1:2:1. Os carboidratos são classificados de acordo com o número de monômeros que apresentam em monossacarídeos, dissacarídeos, oligossacarídeos e polissacarídeos. Nesse sentido, analise a estrutura abaixo:

Fonte: Nutrição moderna de Shils na saúde e na doença. - 11. ed. -Barueri, SP: Manole, 2016.
Os dissacarídeos são carboidratos compostos por dois monossacarídeos ligados. Os mais importantes são maltose, lactose e sacarose. Dentre as opções citadas abaixo, assinale a alternativa que corresponde a estrutura da maltose.
Provas
Caderno Container