Foram encontradas 40 questões.
Assinale a alternativa que apresenta o conjunto-verdade da seguinte equação:
x² + 8x – 20 = 0.
Provas
Questão presente nas seguintes provas
Qual a medida do raio de um círculo com área de 153,86cm²? (utilizar π = 3,14)
Provas
Questão presente nas seguintes provas
Dois pedreiros constroem uma casa em 3 1/6 dias. Trabalhando no mesmo ritmo, quantos dias demorariam quatro pedreiros para construir a mesma casa?
Provas
Questão presente nas seguintes provas
O resultado da seguinte operação a2 + 2ab + b2/a2 - b2 é:
Provas
Questão presente nas seguintes provas
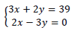
Determine os valores de x e y para que satisfaçam o sistema abaixo.

Provas
Questão presente nas seguintes provas
Assinale a alternativa que apresenta o valor de x na seguinte equação:(dfrac{x +42}{x-2} = 12)
Provas
Questão presente nas seguintes provas
A embalagem de um chocolate tem formato triangular, conforme figura abaixo. A
base da caixa é um triângulo equilátero com as seguintes medidas: o lado de 6 cm e altura de 30 cm.
A capacidade da caixa, em cm³, é de:


Provas
Questão presente nas seguintes provas

Provas
Questão presente nas seguintes provas

Provas
Questão presente nas seguintes provas

I. Agência, município e Brasília são palavras acentuadas por serem paroxítonas terminadas em ditongo ou proparoxítonas eventuais. II. Números, Córrego e quilômetros são palavras acentuadas por serem proparoxítonas. III. País e gaúcho recebem acento gráfico por apresentarem o mesmo fenômeno fonético.
Quais estão corretas?
Provas
Questão presente nas seguintes provas
Cadernos
Caderno Container